Time management is very much important in IIT JAM. The eduncle test series for IIT JAM Mathematical Statistics helped me a lot in this portion. I am very thankful to the test series I bought from eduncle.
Nilanjan Bhowmick AIR 3, CSIR NET (Earth Science)
>
>
>


Ruby negi
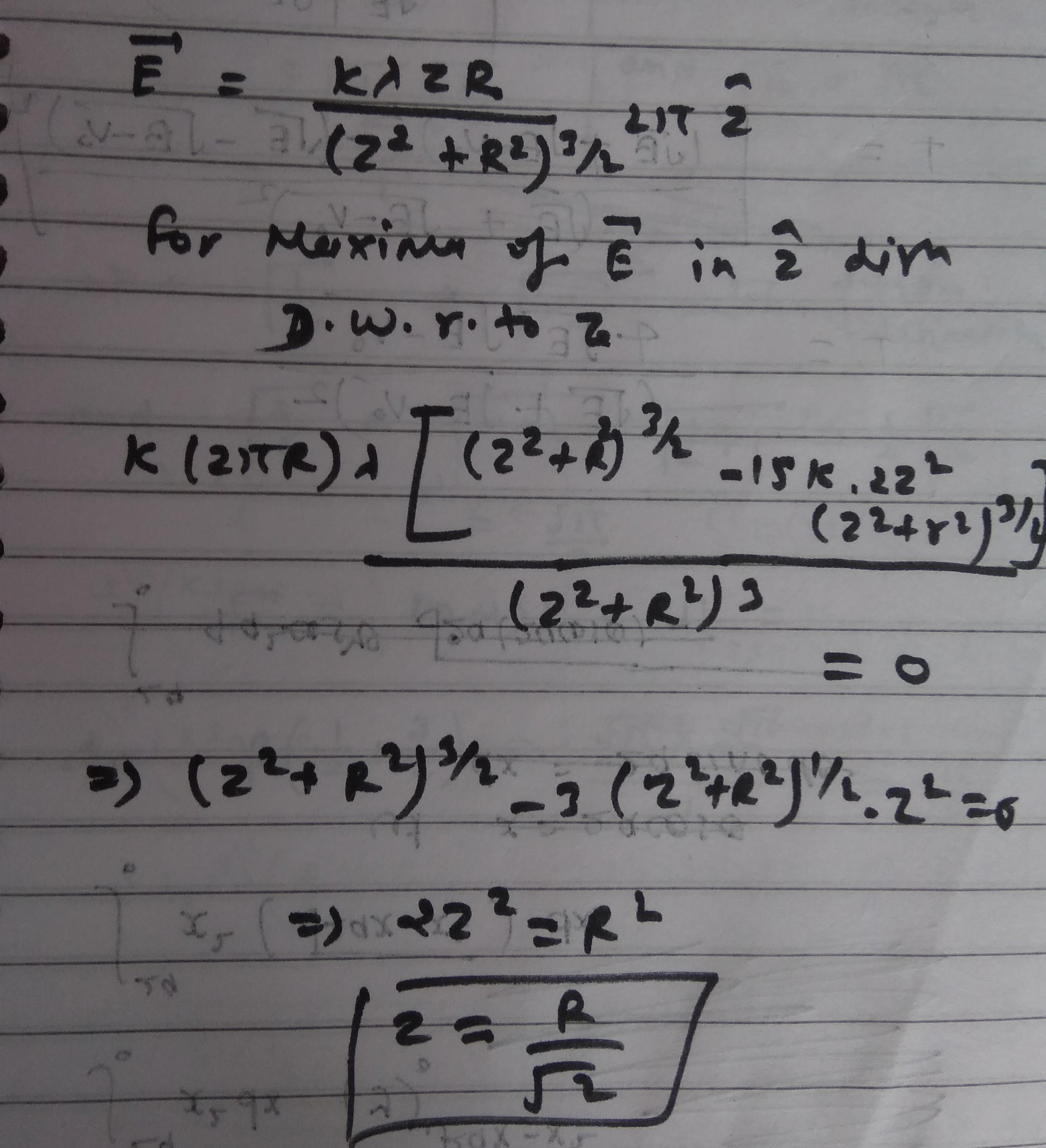
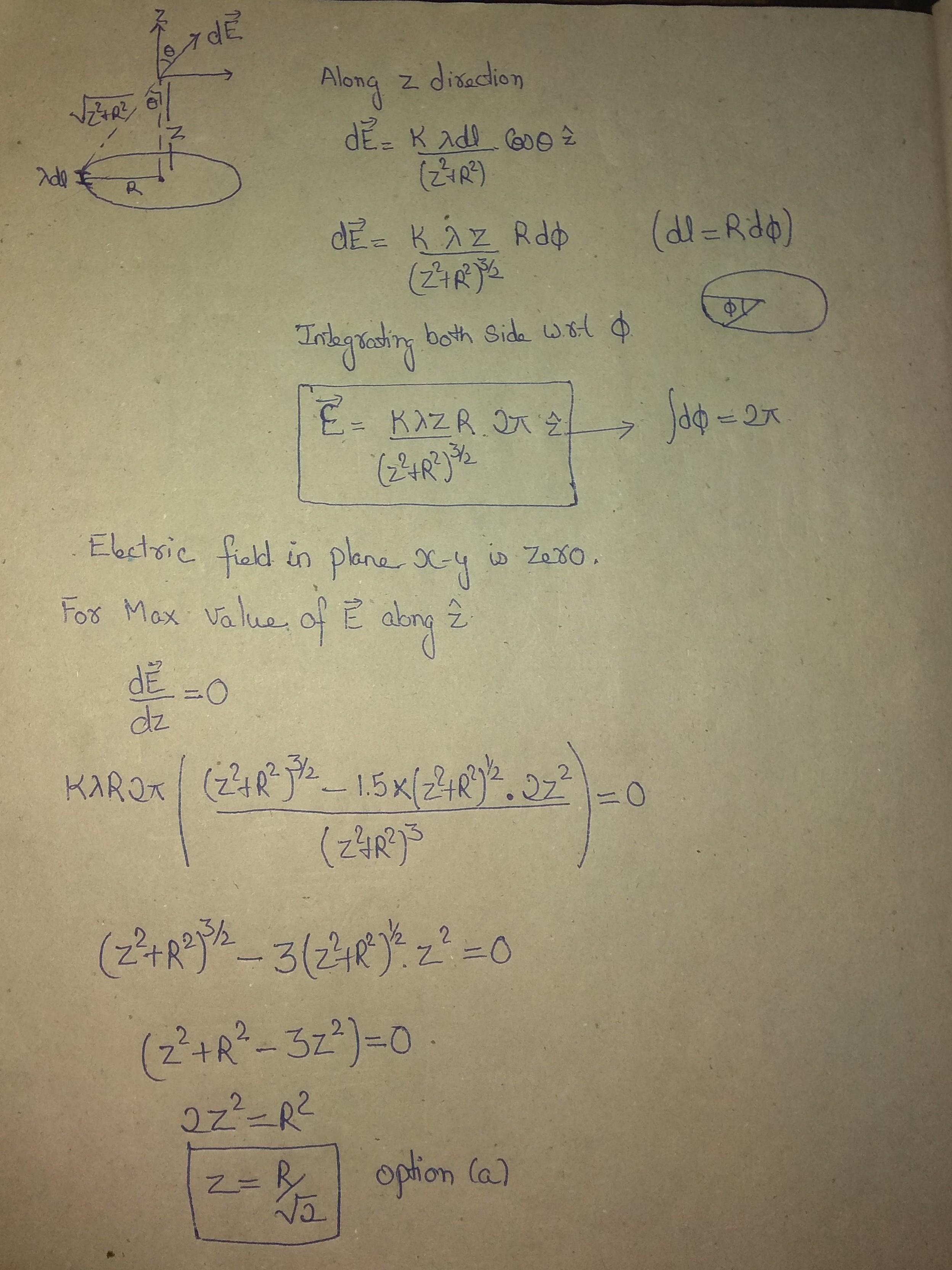
solution....
I hope u know that the condition of Maxima and minima, for Maxima second derivative must be less than zero, here also when u do second derivative of function and put z=R/√2 u will get value less than zero ..