Time management is very much important in IIT JAM. The eduncle test series for IIT JAM Mathematical Statistics helped me a lot in this portion. I am very thankful to the test series I bought from eduncle.
Nilanjan Bhowmick AIR 3, CSIR NET (Earth Science)
>

>
>


Ruby negi Best Answer
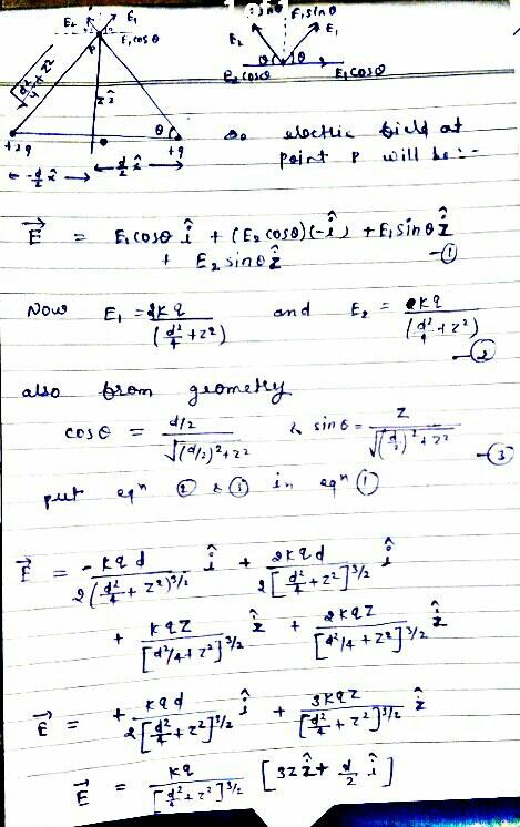
dear, A, D is clearly wrong because the charges are not equal so the e.f at the point p( at z-aixs) is along z and x-axis.. simply draw lines of e.f at point p by both charges.. note when charges are equal then at point p, e.f is along z- axis because the negative x and positive x components will cancel and only z component will remain same. therefore in this case the x components will not cancel and u will have x component also along with z component.. hope u will get me..
for any doubt. ask