Time management is very much important in IIT JAM. The eduncle test series for IIT JAM Mathematical Statistics helped me a lot in this portion. I am very thankful to the test series I bought from eduncle.
Nilanjan Bhowmick AIR 3, CSIR NET (Earth Science)
>
>



Dhairya sharma
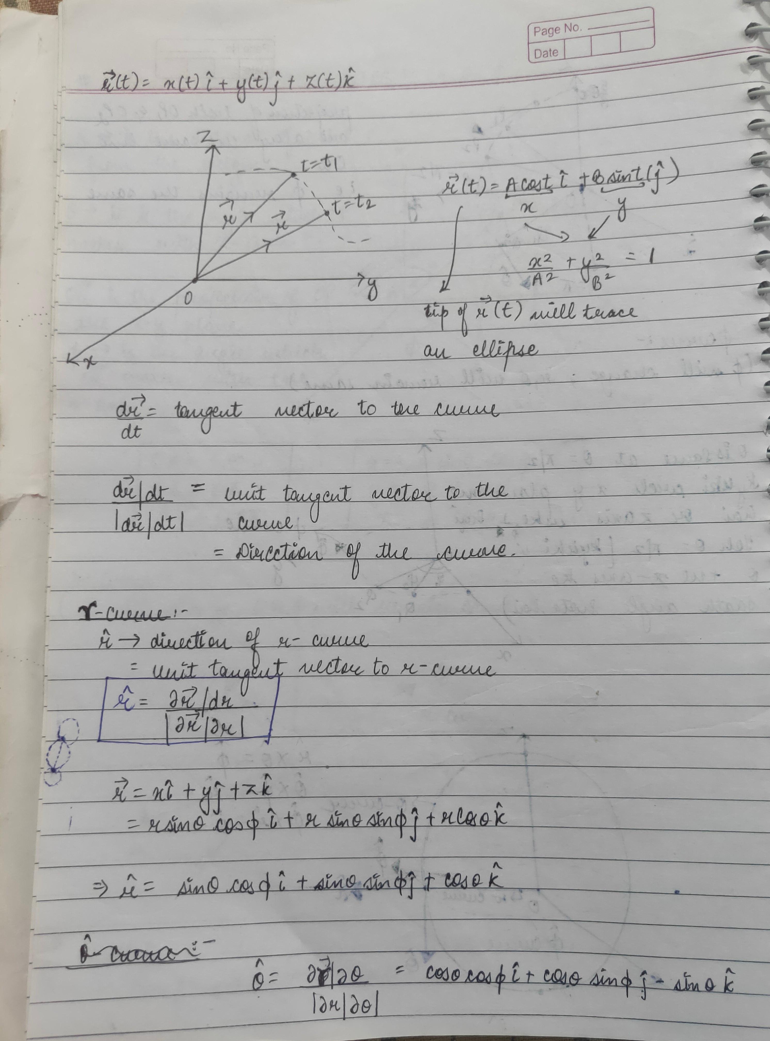
generalization or say curvilinear coordinate system.
physical significance of coordinate system to make our calculation super easy.....i.e. we can solve our problmes in a sophisticated manner.