Time management is very much important in IIT JAM. The eduncle test series for IIT JAM Mathematical Statistics helped me a lot in this portion. I am very thankful to the test series I bought from eduncle.
Nilanjan Bhowmick AIR 3, CSIR NET (Earth Science)
>

>
>


Anoop P
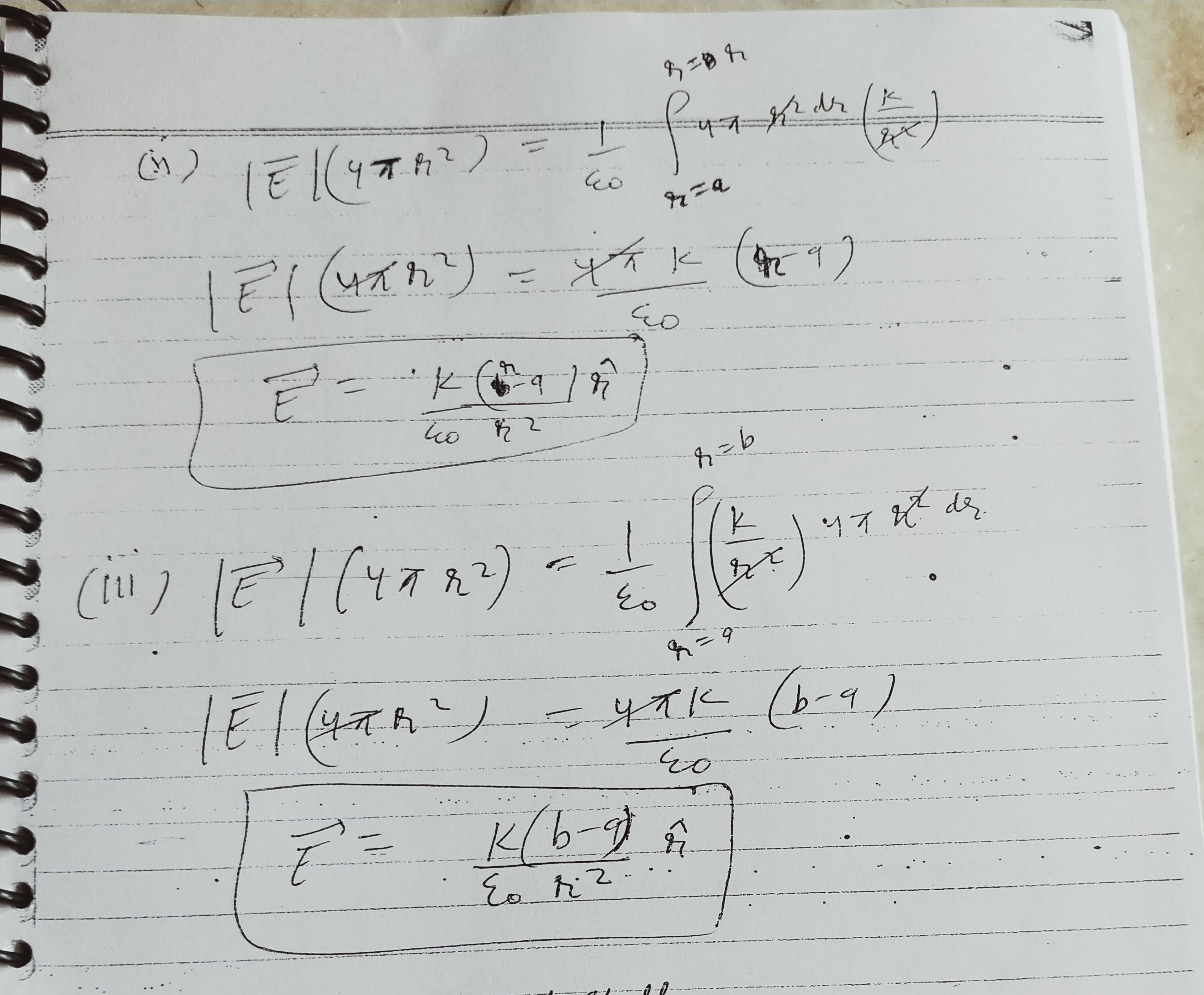
i can show you that integral from 0 to pi sin theta is = 2, you can calculate it bro. Next is integral from zero to 2pi for Phi=1 term = 2. therefore 2*2pi = 4pi. are u clear after trying to integerate?