Himanshu Jajoriya posted an Question
December 27, 2021 • 14:42 pm 1 points
  • IIT JAM
  • Mathematics (MA)

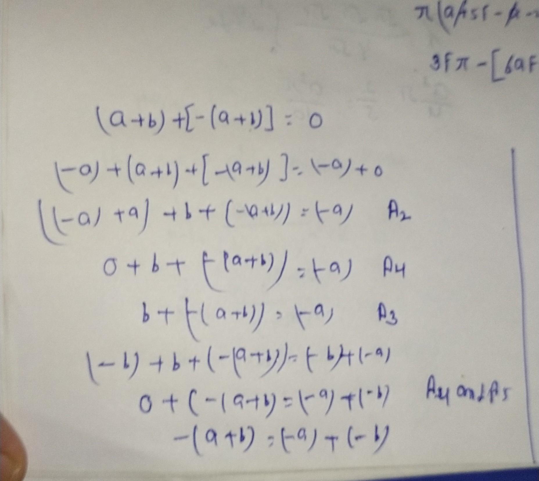
Ex. 1. 1ff is a field and a, b,c ef; then prove that: (a) -(a +b) = (-a) +(-b) (b) a(b-c) = ab - ac

Ex. 1. 1fF is a field and a, b,c eF; then prove that: (7f F v &7TT a,b, c e F; m fE TU): (a) -(a +b) = (-a) +(-b) (b) a(b-c) = ab - ac

1 Answer(s) Answer Now
  • 0 Likes
  • 1 Comments
  • 0 Shares
whatsapp-btn

Do You Want Better RANK in Your Exam?

Start Your Preparations with Eduncle’s FREE Study Material

  • Updated Syllabus, Paper Pattern & Full Exam Details
  • Sample Theory of Most Important Topic
  • Model Test Paper with Detailed Solutions
  • Last 5 Years Question Papers & Answers