profile-img
Vijay posted an Question
October 04, 2021 • 00:37 am 1 points
  • IIT JAM
  • Mathematics (MA)

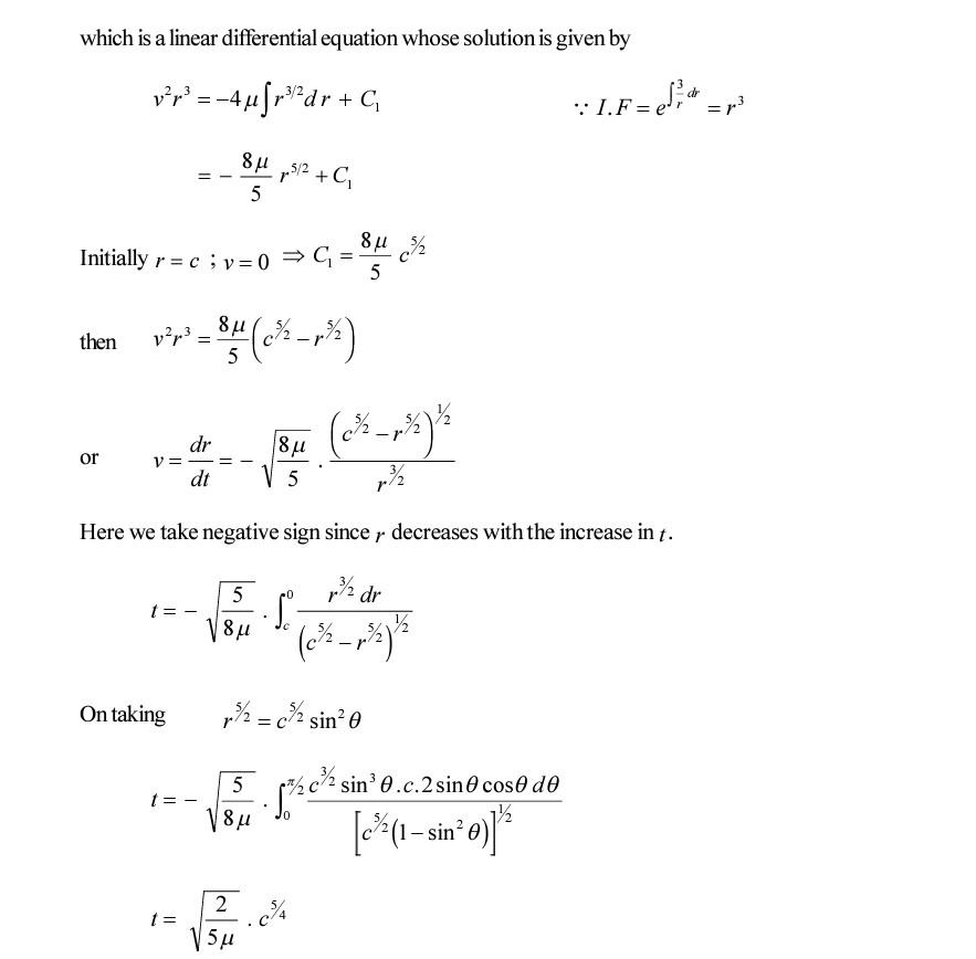
Ex. 1. an infinite mass of jluid is acted on by aforce lr per unit mass directed to the origin. f initially the jhuid is at rest and there is a cavity in the jo

Ex. 1. An infinite mass of jluid is acted on by aforce lr per unit mass directed to the origin. f initially the Jhuid is at rest and there is a cavity in the Jorm of the sphere r= c in i, show that the cavity will be filled up after an interval of time (2/5) [Kanpur 1999, 2009; Meerut 2005; I.A.S. 2003]

1 Answer(s) Answer Now
  • 0 Likes
  • 1 Comments
  • 0 Shares
whatsapp-btn

Do You Want Better RANK in Your Exam?

Start Your Preparations with Eduncle’s FREE Study Material

  • Updated Syllabus, Paper Pattern & Full Exam Details
  • Sample Theory of Most Important Topic
  • Model Test Paper with Detailed Solutions
  • Last 5 Years Question Papers & Answers