Time management is very much important in IIT JAM. The eduncle test series for IIT JAM Mathematical Statistics helped me a lot in this portion. I am very thankful to the test series I bought from eduncle.
Nilanjan Bhowmick AIR 3, CSIR NET (Earth Science)
>
>

>


Chandra prakash
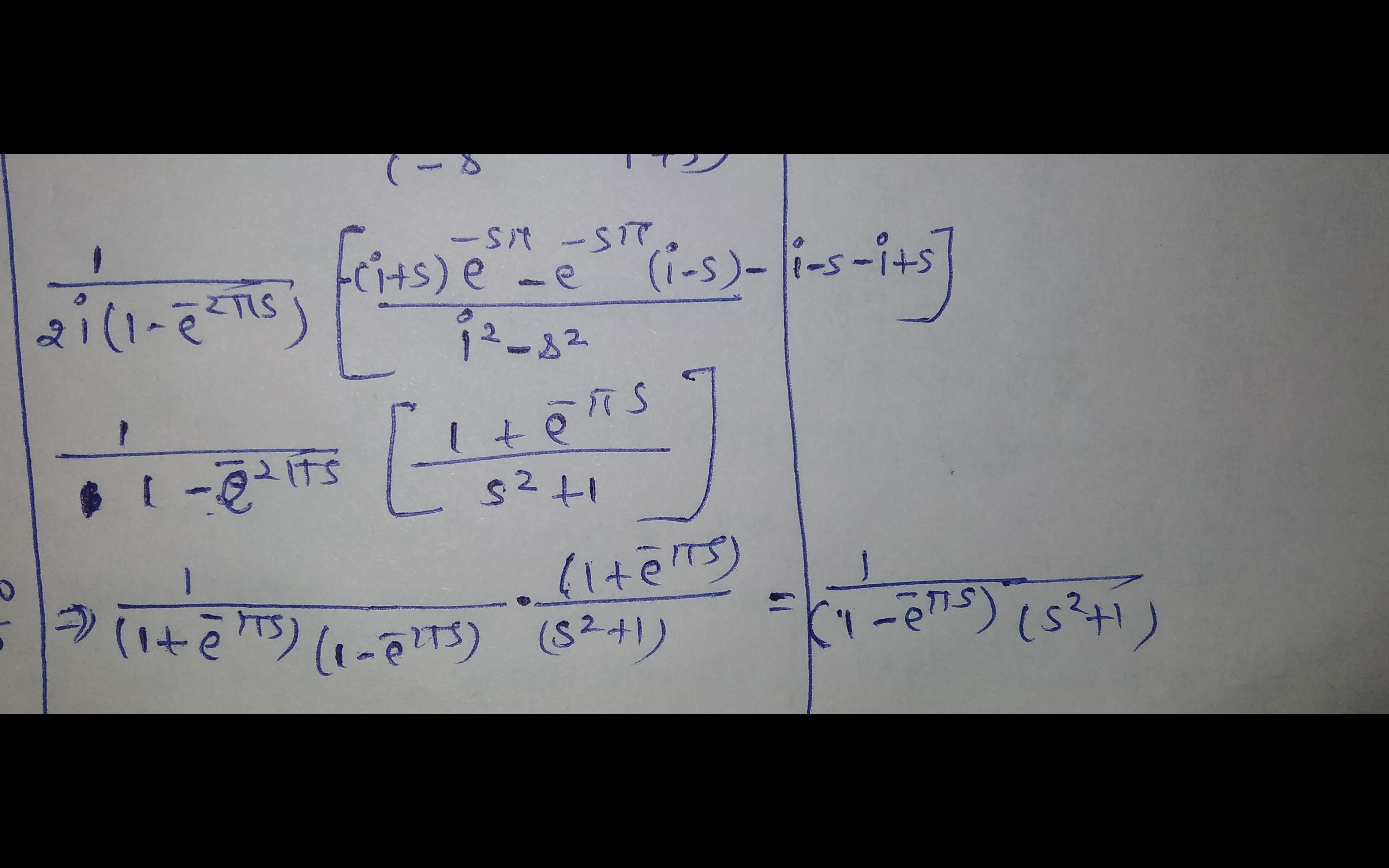
dear see further calculation see my last attached file.. don't get confused π/w u can remove W terms and analysis ...i hope u got it my point dear