Time management is very much important in IIT JAM. The eduncle test series for IIT JAM Mathematical Statistics helped me a lot in this portion. I am very thankful to the test series I bought from eduncle.
Nilanjan Bhowmick AIR 3, CSIR NET (Earth Science)


Prashant kumar
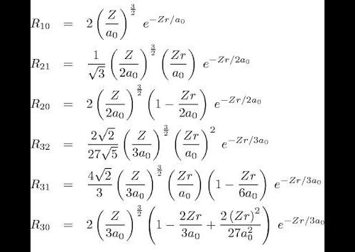
Option 1 should be correct answer. Since in the solution of radial equation in an atom we get Legurre function. which is in form of some constant into negative exponent of distance from A.