Time management is very much important in IIT JAM. The eduncle test series for IIT JAM Mathematical Statistics helped me a lot in this portion. I am very thankful to the test series I bought from eduncle.
Nilanjan Bhowmick AIR 3, CSIR NET (Earth Science)
>
>



Abhishek singh
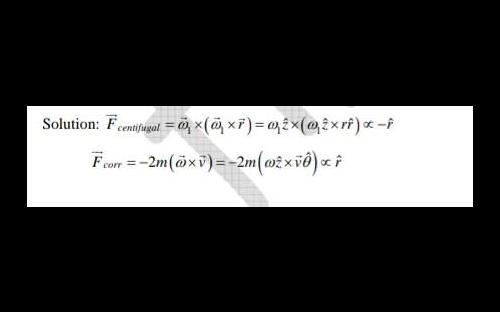
Here option C and D are same. option C (or D, because both are same) is the correct Answer. Always remember that centrifugal force will always be radially outward of the bigger disc(no matter what the small disc is doing) . And coriolis force is along radially inward direction with respect to the smaller disc. Best regards.