Time management is very much important in IIT JAM. The eduncle test series for IIT JAM Mathematical Statistics helped me a lot in this portion. I am very thankful to the test series I bought from eduncle.
Nilanjan Bhowmick AIR 3, CSIR NET (Earth Science)
>



Priyadarshan Choursiya
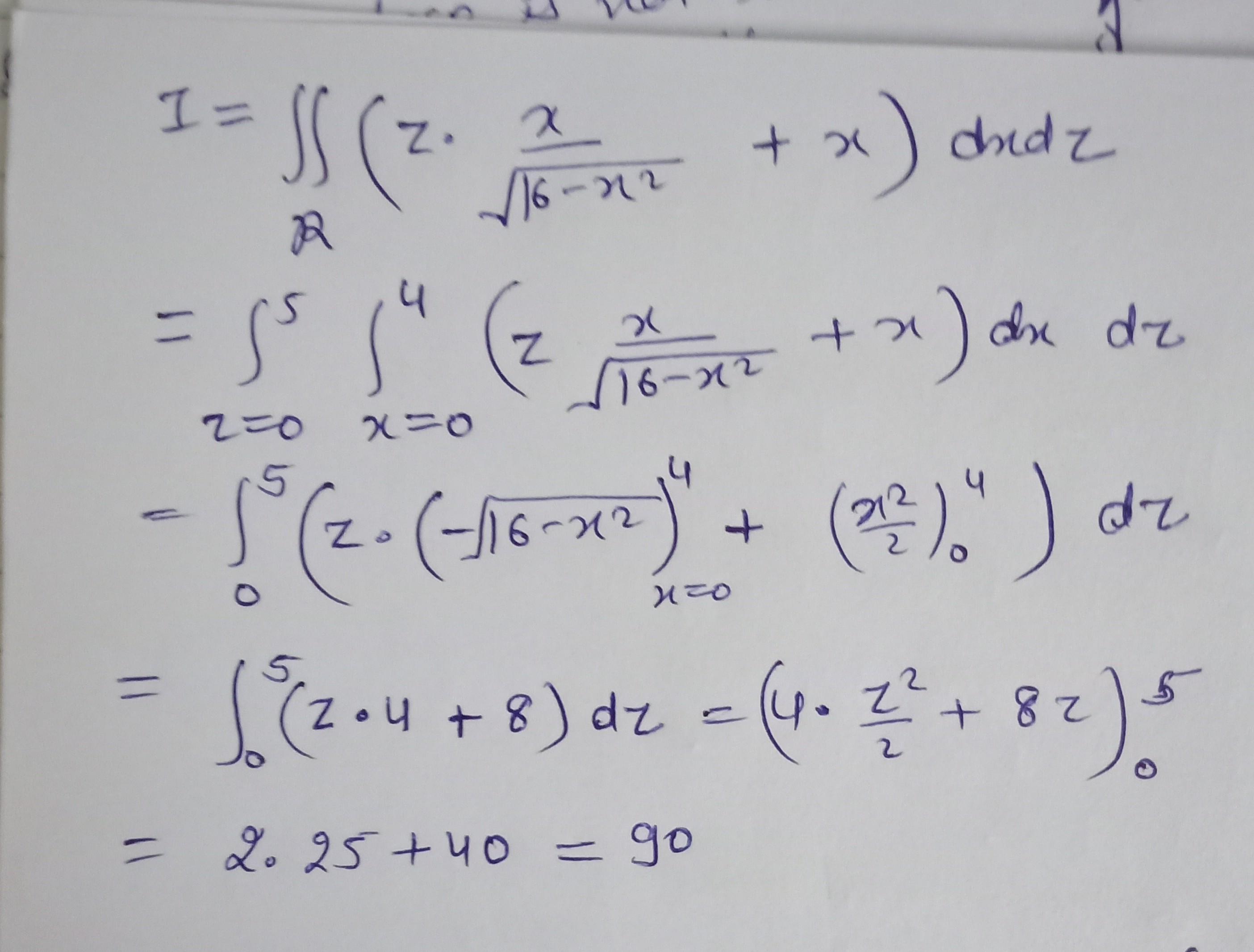
include in first octant doesn't imply that consider X=0 and y=0 plane. here we have only cylinder surface so Gauss thm doesn't apply