Time management is very much important in IIT JAM. The eduncle test series for IIT JAM Mathematical Statistics helped me a lot in this portion. I am very thankful to the test series I bought from eduncle.
Nilanjan Bhowmick AIR 3, CSIR NET (Earth Science)


Priyadarshan Choursiya Best Answer
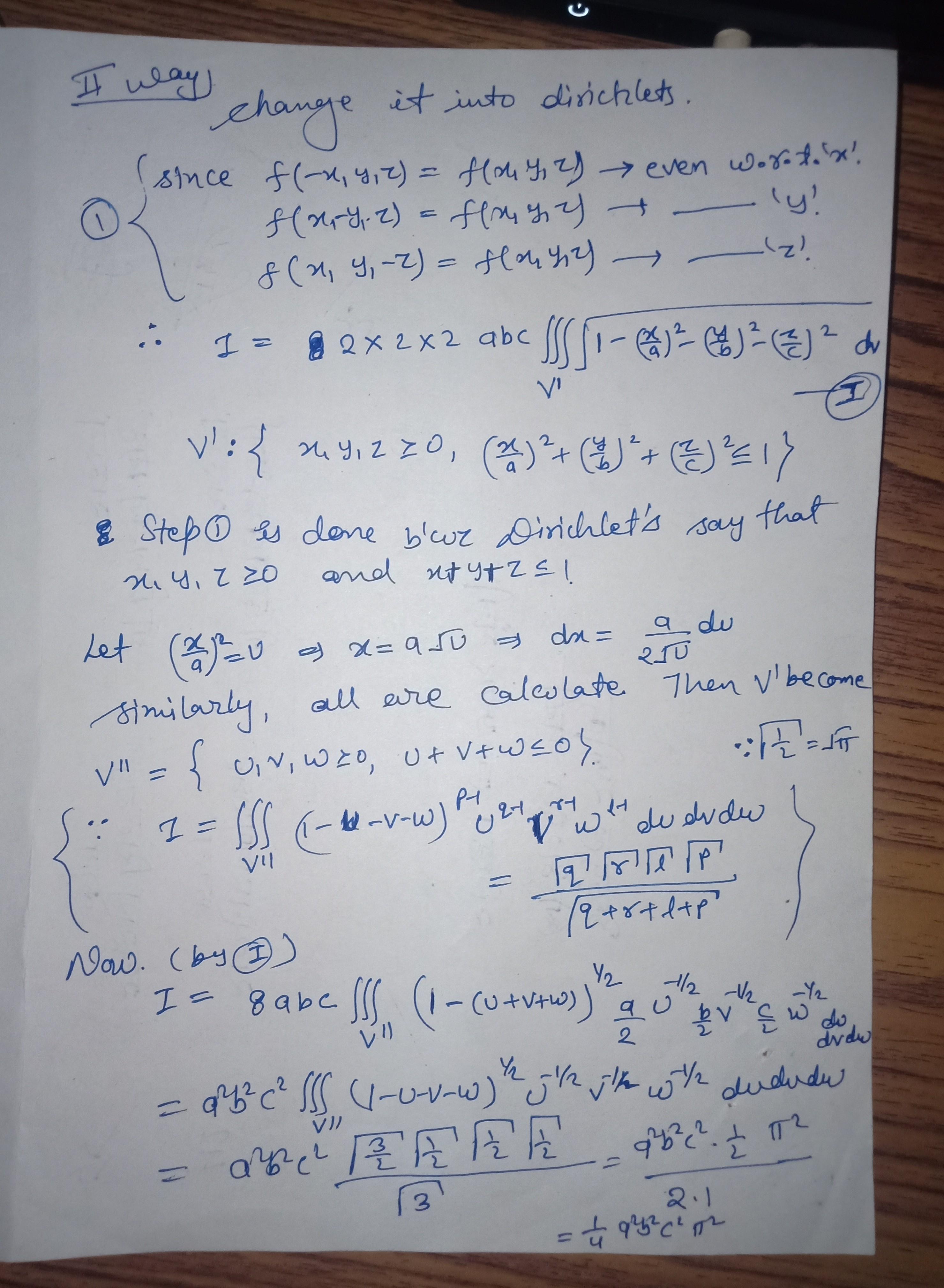
I attached two methods which expand your thinking level and some questions you need to remember. the other long general way is you integrate first with z then y then x as usual by make ellipsoid and find limits. select as best answer if you like