Time management is very much important in IIT JAM. The eduncle test series for IIT JAM Mathematical Statistics helped me a lot in this portion. I am very thankful to the test series I bought from eduncle.
Nilanjan Bhowmick AIR 3, CSIR NET (Earth Science)
>


Ruby negi Best Answer
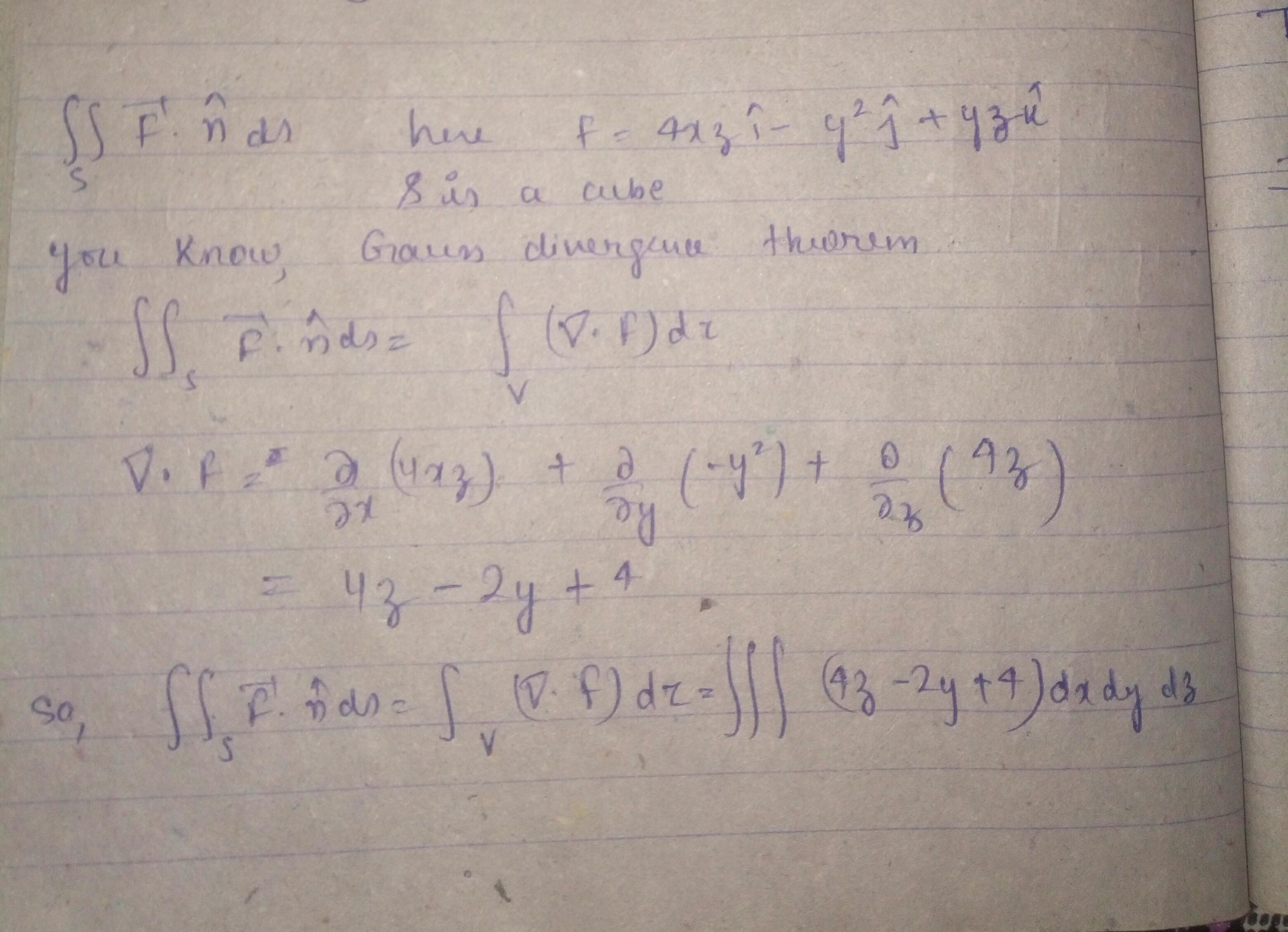
in this question, the sides of cube is not given that's why I left the calculation to you.. only in the last line you have to integrate it ..