Time management is very much important in IIT JAM. The eduncle test series for IIT JAM Mathematical Statistics helped me a lot in this portion. I am very thankful to the test series I bought from eduncle.
Nilanjan Bhowmick AIR 3, CSIR NET (Earth Science)
>


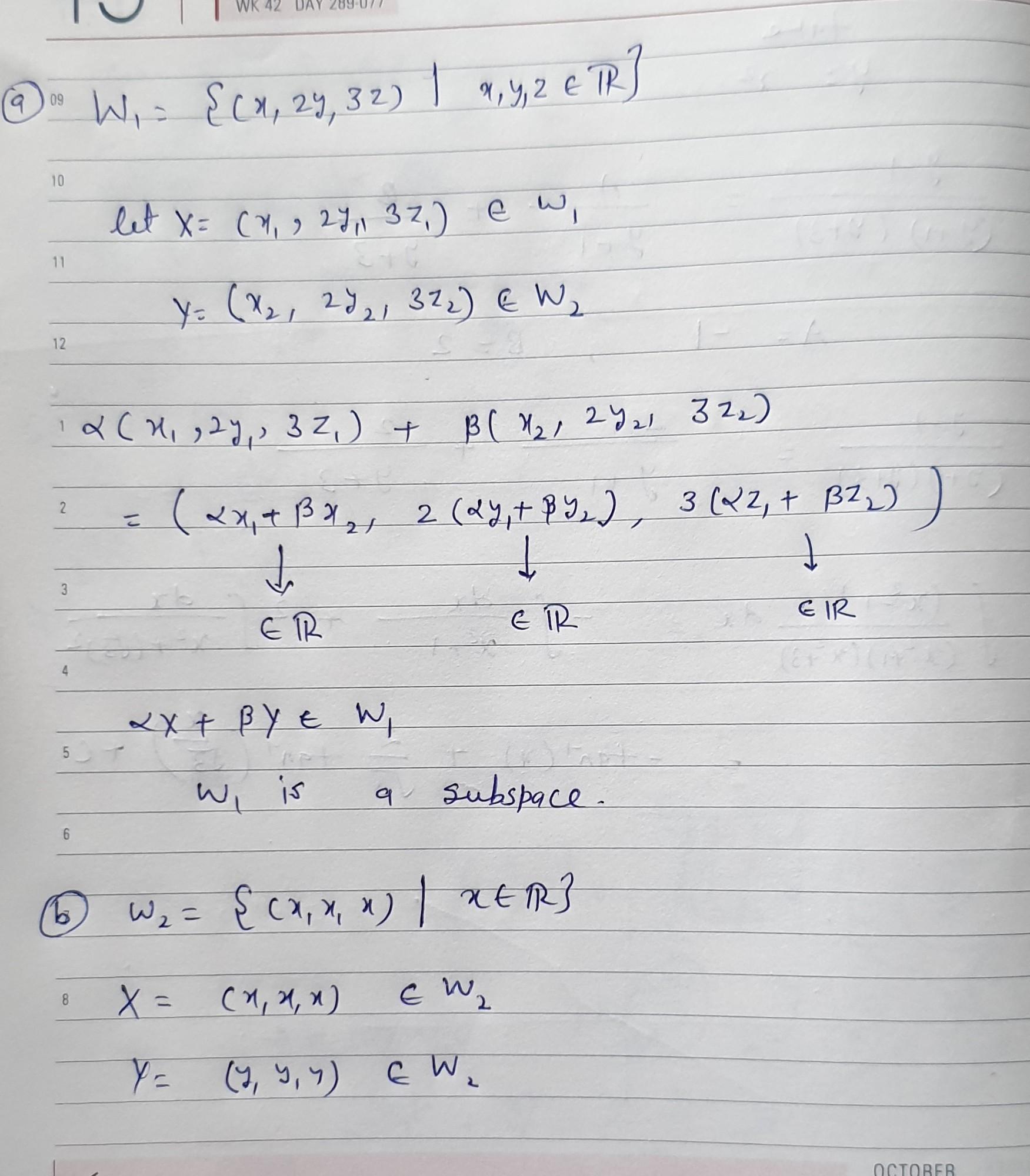
Satpal singh Best Answer
see the attachment
but in book W3 is not a subspace....
no there is wrong in booklet
bcoz x ,y z are belongs to R
if they have condition x,y z belongs to Q
in that case it is not a subspace
but for field of real numbers it is a subspace definitely
OK thank u 😊