Yadukrishnan R posted an Question
December 23, 2020 • 10:47 am 30 points
  • IIT JAM
  • Physics (PH)

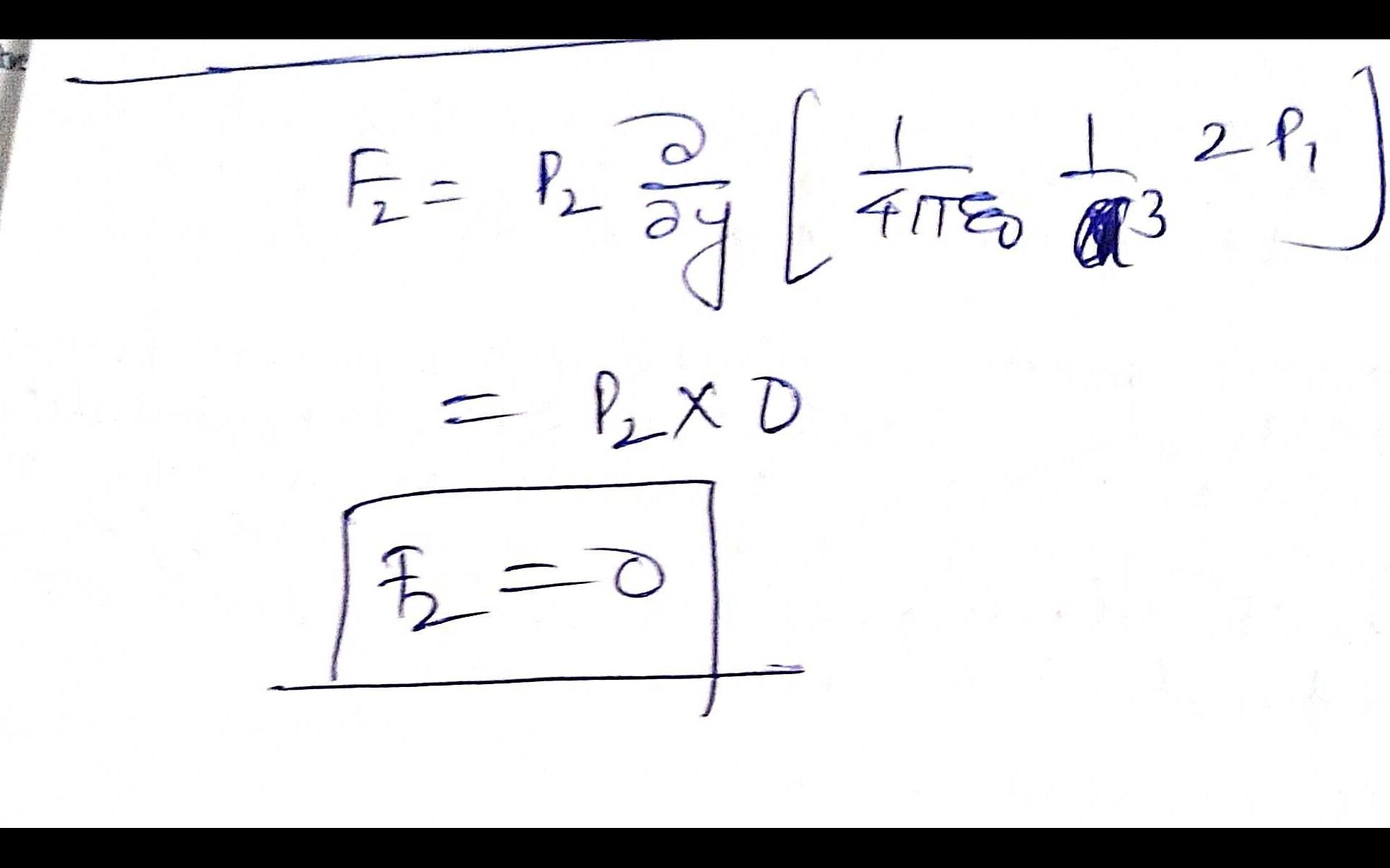
Example: two electric dipoles are placed as shown in figure. calculate force of inte dipole 2 due to dipole 1. solution. f =p, vĒ,, consider field at (x, y, 0)

Example: Two electric dipoles are placed as shown in figure. please explain this answer

1 Answer(s) Answer Now
  • 0 Likes
  • 1 Comments
  • 0 Shares
whatsapp-btn

Do You Want Better RANK in Your Exam?

Start Your Preparations with Eduncle’s FREE Study Material

  • Updated Syllabus, Paper Pattern & Full Exam Details
  • Sample Theory of Most Important Topic
  • Model Test Paper with Detailed Solutions
  • Last 5 Years Question Papers & Answers