Time management is very much important in IIT JAM. The eduncle test series for IIT JAM Mathematical Statistics helped me a lot in this portion. I am very thankful to the test series I bought from eduncle.
Nilanjan Bhowmick AIR 3, CSIR NET (Earth Science)
>
>



Dhairya sharma
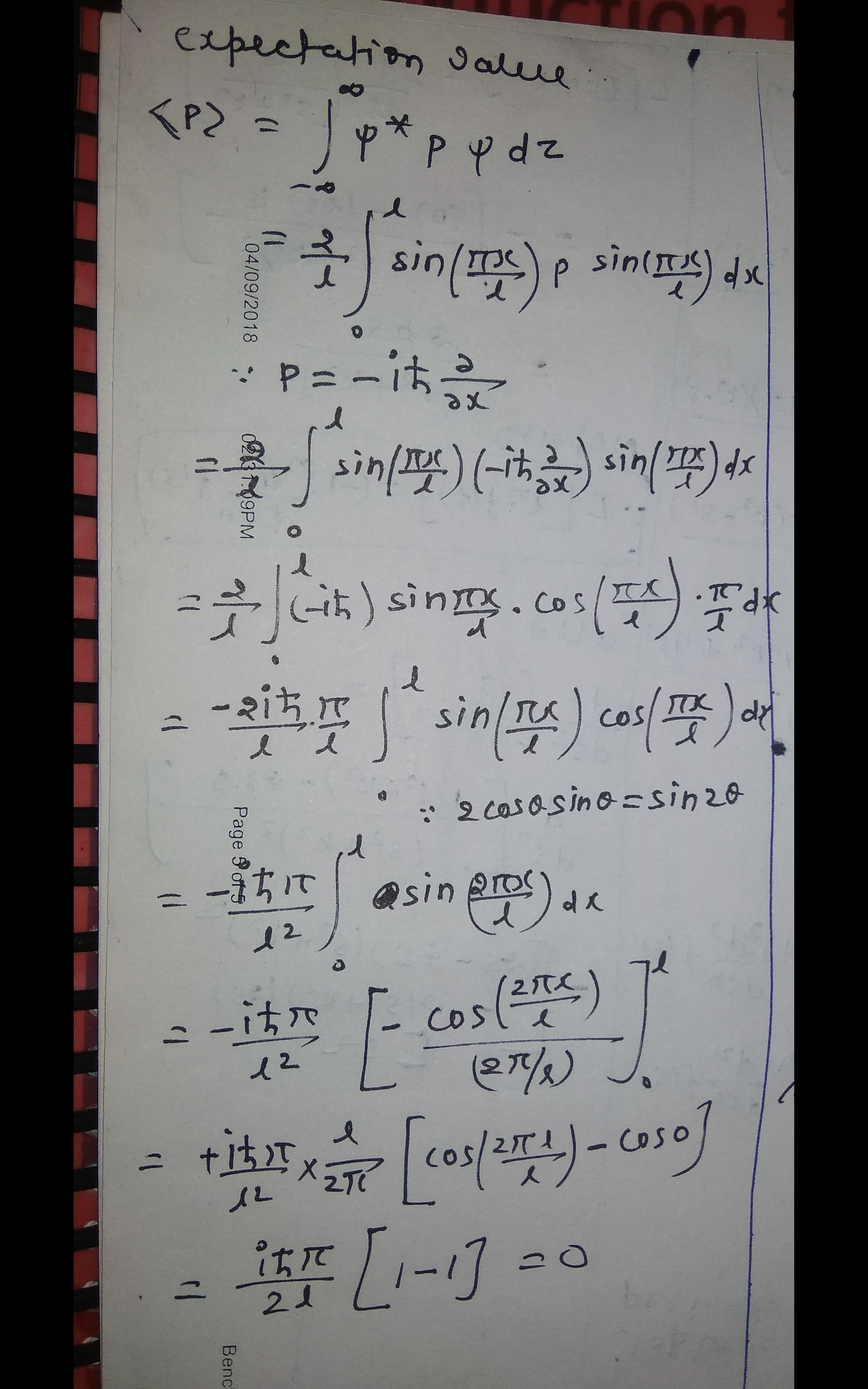
and the most important concept is that
concept is that if we are dealing with symmtric systems then expectation value is always 0 due to symmetric curve.
thank you 😊