Time management is very much important in IIT JAM. The eduncle test series for IIT JAM Mathematical Statistics helped me a lot in this portion. I am very thankful to the test series I bought from eduncle.
Nilanjan Bhowmick AIR 3, CSIR NET (Earth Science)


Isha lohan 1
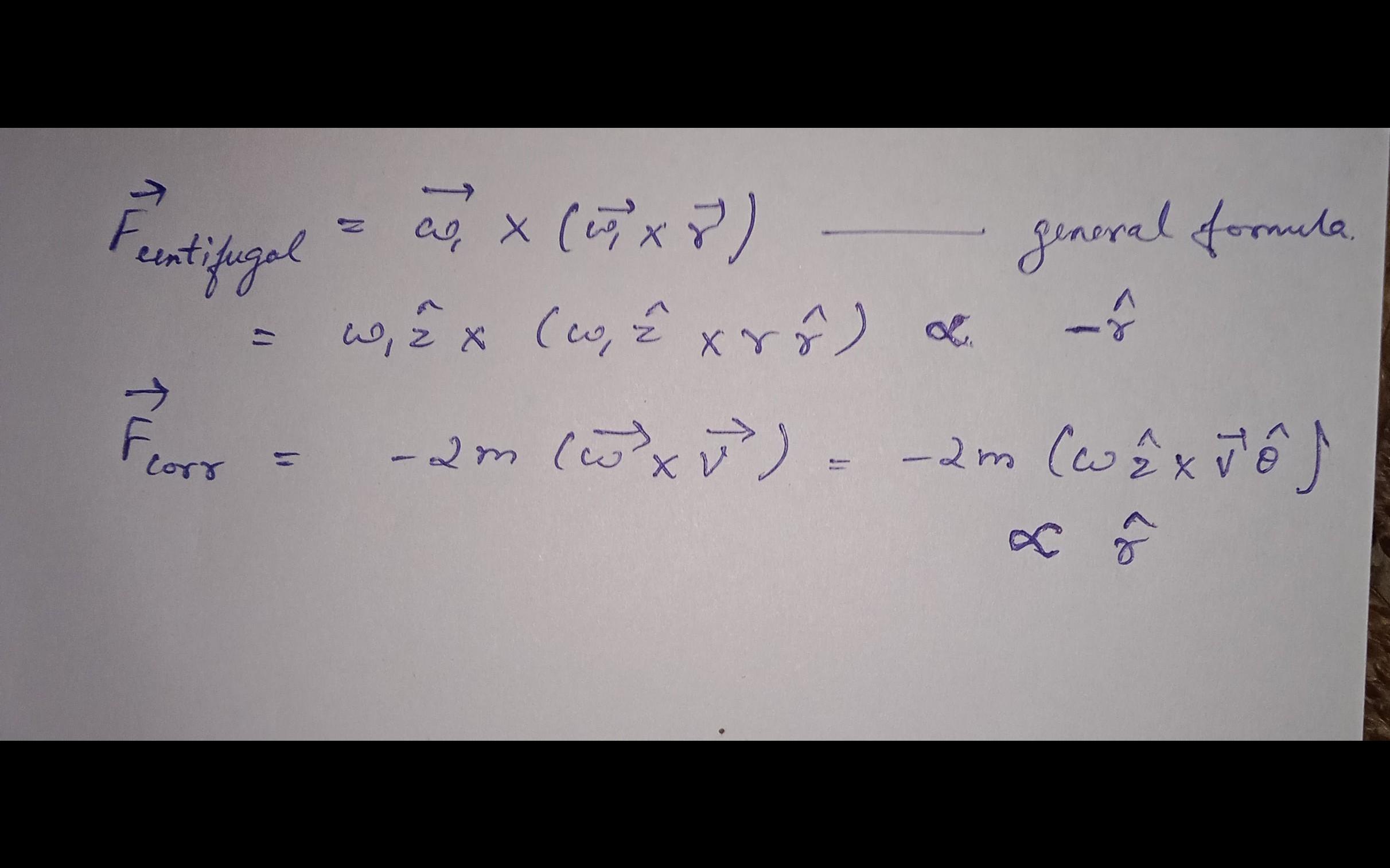
To understand this, you must have the basic knowledge of coriolis force and centrifugal force. Knowing there direction trends, you can easily answer this ques. Basically, centrifugal force comes into of act when observer is standing on the rotating frame and observing some stationary object on ground. But coriolis comes into act when that object on ground is also moving with some velocity v. Even if you have problem in imagining the directions of force in your mind. Then, you should use mathematical formula to find out the direction of forces. For mathematical calculations see the figure I have attached. To know deeper about this topic you must read HCVerma Vol 1 book. Or there are Prof HCVerma's lecture also on youtube regarding coriolis force, you watch those.