Nani posted an Question
February 08, 2021 • 23:34 pm 20 points
  • IIT JAM
  • Mathematics (MA)

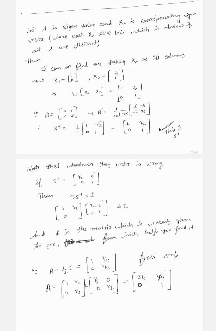
Explain s^-1 anda

lo o (A -1) X =0 o Lo ojly lo MS = SA where A = O 1 LO M SAS- M"-SA"S- ()" o1 0 1l o o 1 ro 31-2 lim M X 0

1 Answer(s) Answer Now
  • 0 Likes
  • 2 Comments
  • 0 Shares
whatsapp-btn

Do You Want Better RANK in Your Exam?

Start Your Preparations with Eduncle’s FREE Study Material

  • Updated Syllabus, Paper Pattern & Full Exam Details
  • Sample Theory of Most Important Topic
  • Model Test Paper with Detailed Solutions
  • Last 5 Years Question Papers & Answers