Time management is very much important in IIT JAM. The eduncle test series for IIT JAM Mathematical Statistics helped me a lot in this portion. I am very thankful to the test series I bought from eduncle.
Nilanjan Bhowmick AIR 3, CSIR NET (Earth Science)



Mohana krishnan s
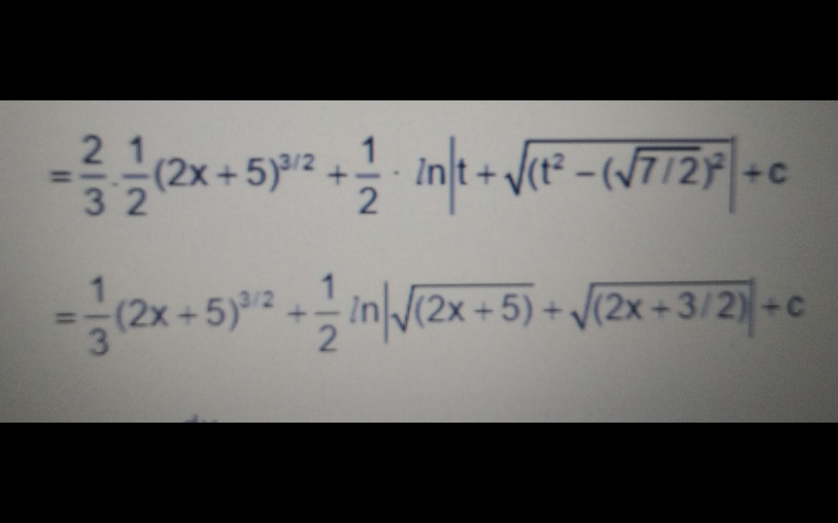
this is the book answee
answer was wrong, remember that as you are a beginner and whenever you have doubt you can check it by differentiating your answer, if you got integrand back then your answer is correct.
then the correct answer is?
I already send
check other message s
aap What kind of questions you asking, I strongly recommend you that you must read CLASS12 RD Sharma book for integral, continuity, differentiability. and class 11 for limit. it help you allot. in my preparation time I read them 3 times. ( it has too much questions, it help you to increase your thinking power with the basics.
sir i am average student did i get in iit on 2021. if it is possible