profile-img
Deepak Patra posted an Question
December 17, 2021 • 04:04 am 30 points
  • IIT JAM
  • Mathematics (MA)

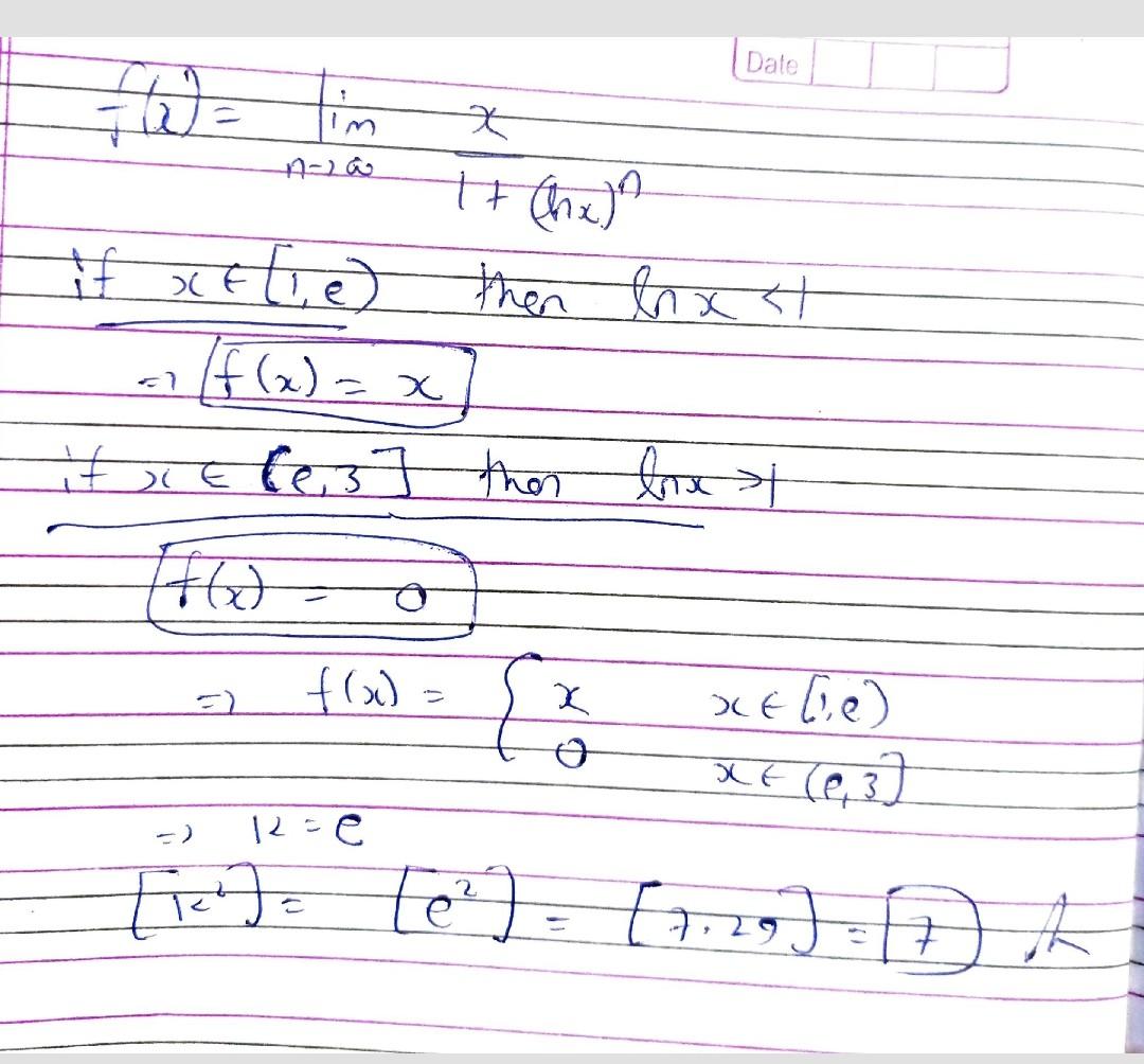
F(a) = thninahy e [1,3] is non-diferentiable at z = k. then the value of k*] is (where represents the greatest integer function)

f(a) = THninahY E [1,3] is non-diferentiable at z = k. Then the value of k*] is (where represents the greatest integer function)

1 Answer(s) Answer Now
  • 0 Likes
  • 1 Comments
  • 0 Shares
whatsapp-btn

Do You Want Better RANK in Your Exam?

Start Your Preparations with Eduncle’s FREE Study Material

  • Updated Syllabus, Paper Pattern & Full Exam Details
  • Sample Theory of Most Important Topic
  • Model Test Paper with Detailed Solutions
  • Last 5 Years Question Papers & Answers