Shubham posted an Question
December 05, 2021 • 03:10 am 30 points
  • IIT JAM
  • Mathematics (MA)

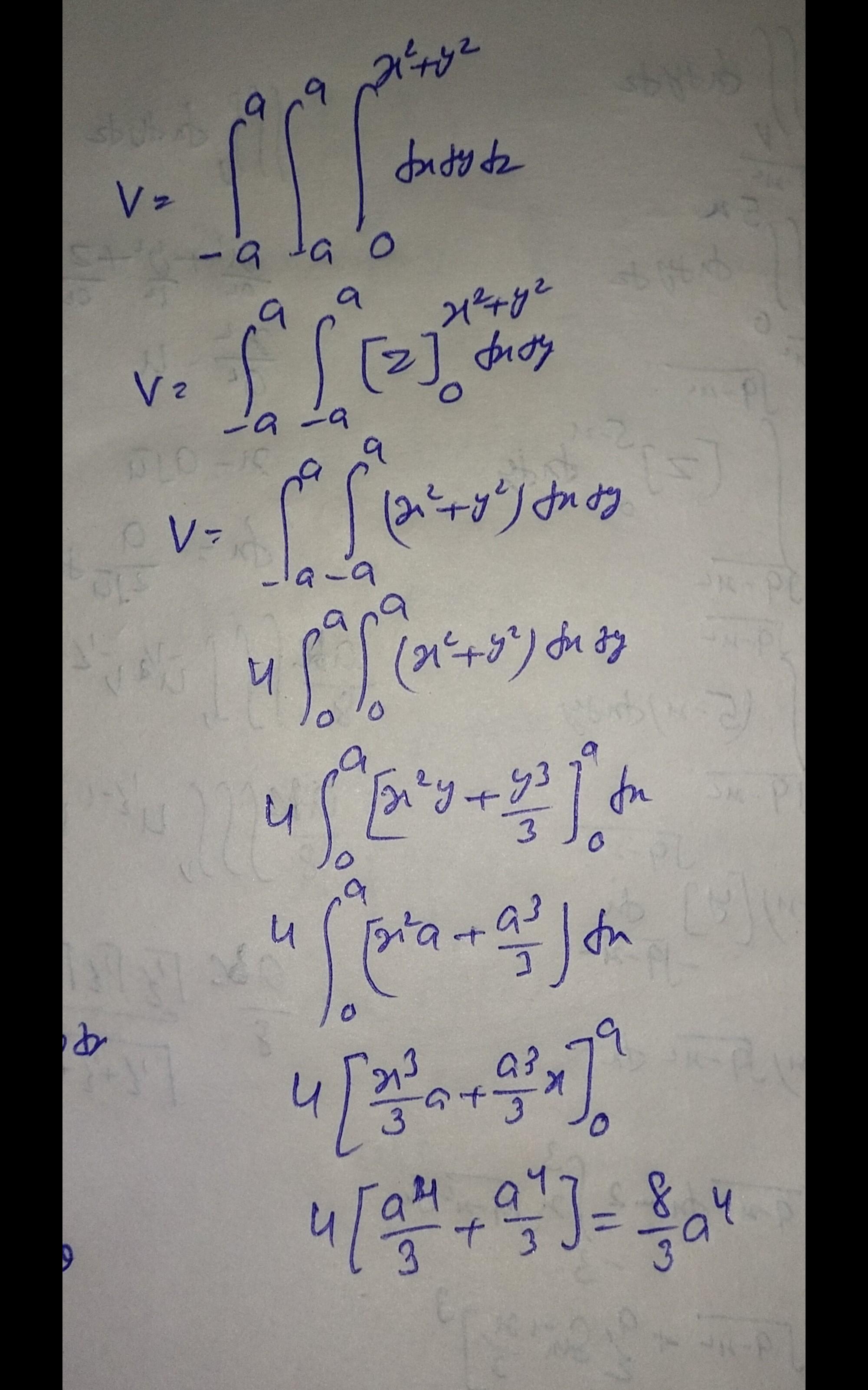
Fia une volume dounueu by une cyiinuer a anu ue paes zu and y t2 ans. zab find the volume of the region bounded by zx+y, z-0, x =- a, x =a and y =-a,y = a als r

FIa une volume DOunueu by une cyIinuer a anu Ue paeS ZU and y t2 Ans. zab Find the volume of the region bounded by zx+y, z-0, x =- a, x =a and y =-a,y = a Als Rand 1he voma* Find ha vol. 22- o and the nlan

1 Answer(s) Answer Now
  • 0 Likes
  • 1 Comments
  • 0 Shares
whatsapp-btn

Do You Want Better RANK in Your Exam?

Start Your Preparations with Eduncle’s FREE Study Material

  • Updated Syllabus, Paper Pattern & Full Exam Details
  • Sample Theory of Most Important Topic
  • Model Test Paper with Detailed Solutions
  • Last 5 Years Question Papers & Answers