Time management is very much important in IIT JAM. The eduncle test series for IIT JAM Mathematical Statistics helped me a lot in this portion. I am very thankful to the test series I bought from eduncle.
Nilanjan Bhowmick AIR 3, CSIR NET (Earth Science)
>


Deepak singh 1
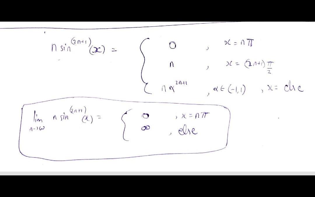
Refer attachment
shouldn't the 3 case be zero*infinity form?
yes , its 0 *infinity form . And using l'hopital , its value is infinity .