Time management is very much important in IIT JAM. The eduncle test series for IIT JAM Mathematical Statistics helped me a lot in this portion. I am very thankful to the test series I bought from eduncle.
Nilanjan Bhowmick AIR 3, CSIR NET (Earth Science)
>
>
>


Ruby negi
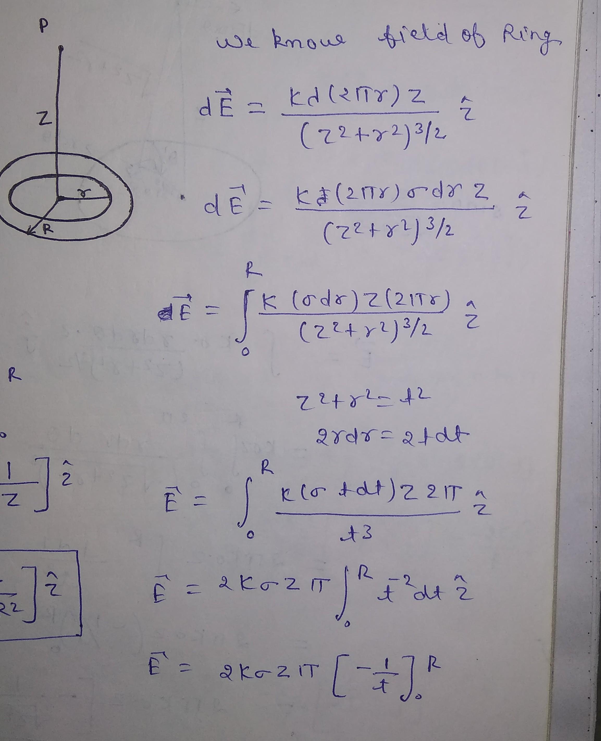
this is the easiest and basic method,other than there is a vector method.. in this case, only u have to take ring and then integrate it from 0 to R. this will help u... best regards