Time management is very much important in IIT JAM. The eduncle test series for IIT JAM Mathematical Statistics helped me a lot in this portion. I am very thankful to the test series I bought from eduncle.
Nilanjan Bhowmick AIR 3, CSIR NET (Earth Science)
>


Deepak singh 1 Best Answer
Refer attached option a is correct
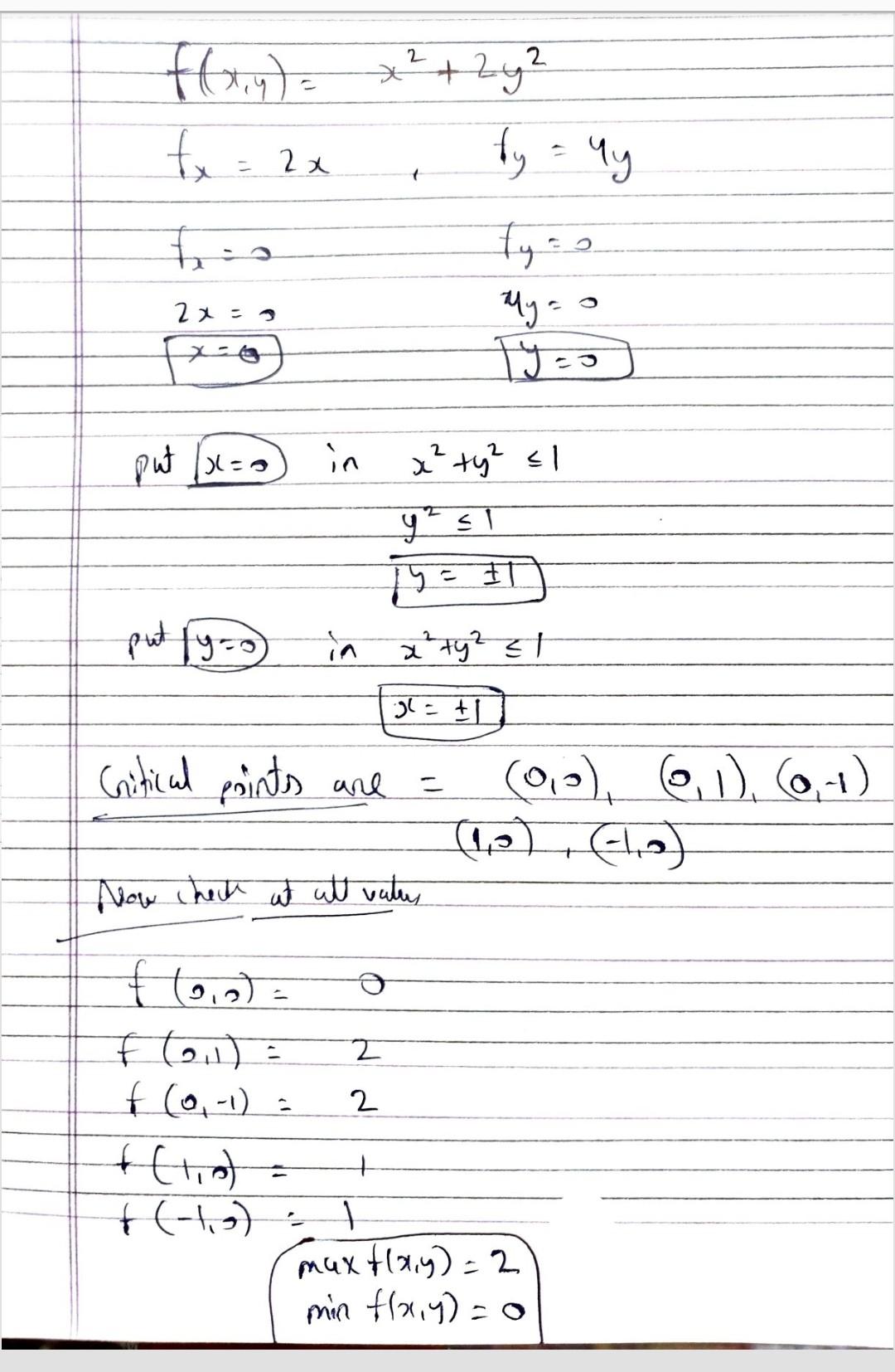
sir can we solve all question based on lagranges multiplier by way u proceeded...
this question was simple , so there was no need to use langrange .
this method is also a part of langrange .
sir in simple question we used to check by rt–s² ..so it means if region will be given then we don't use that rt–s² concept
rt-s^2 concept is used when only f(x,y) is given and no region given .
here region is given , so we don't use rt-s^2 concept
ok sir ..got it now thanks a lot sir