Time management is very much important in IIT JAM. The eduncle test series for IIT JAM Mathematical Statistics helped me a lot in this portion. I am very thankful to the test series I bought from eduncle.
Nilanjan Bhowmick AIR 3, CSIR NET (Earth Science)



Anonymous User
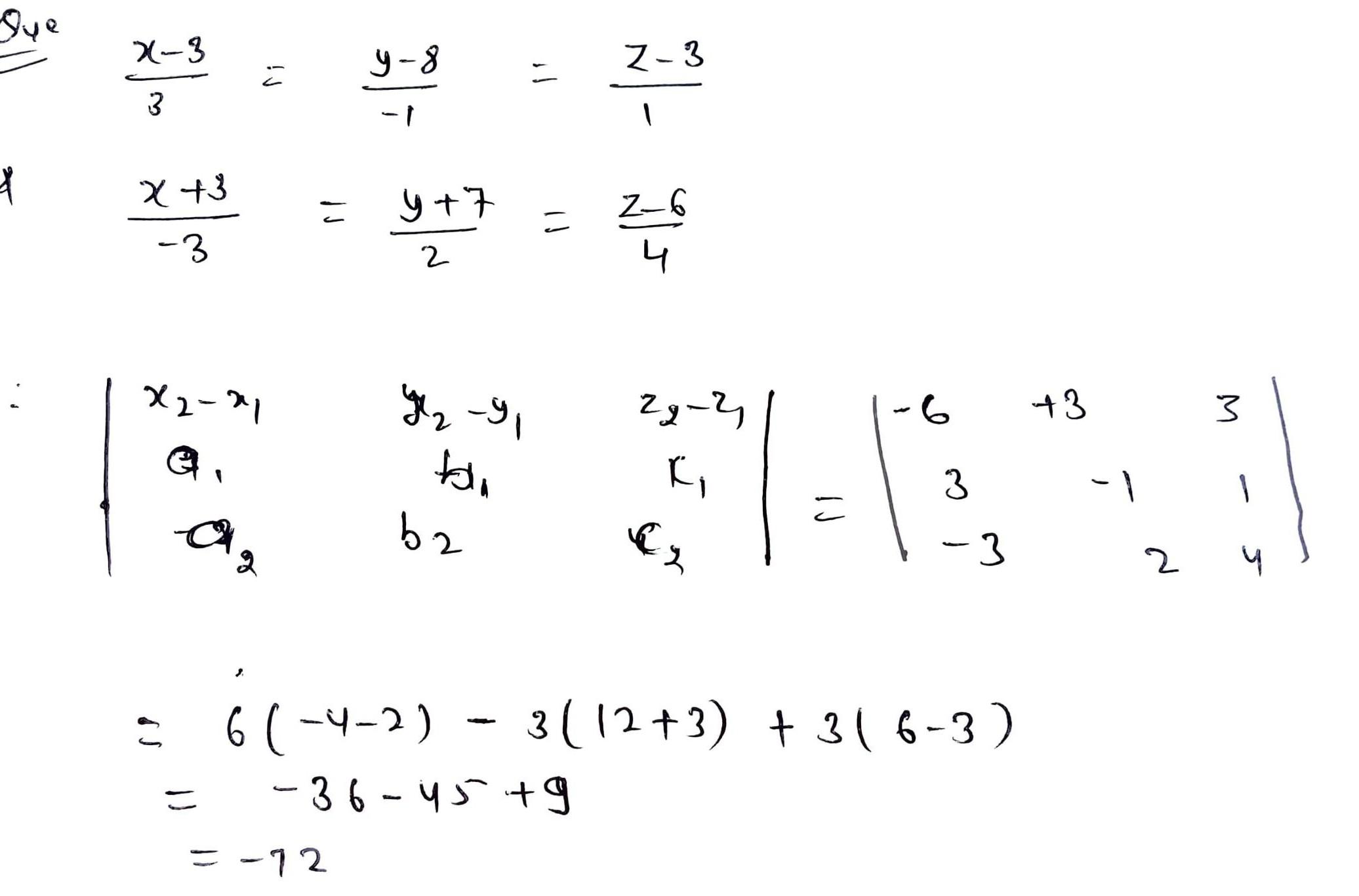
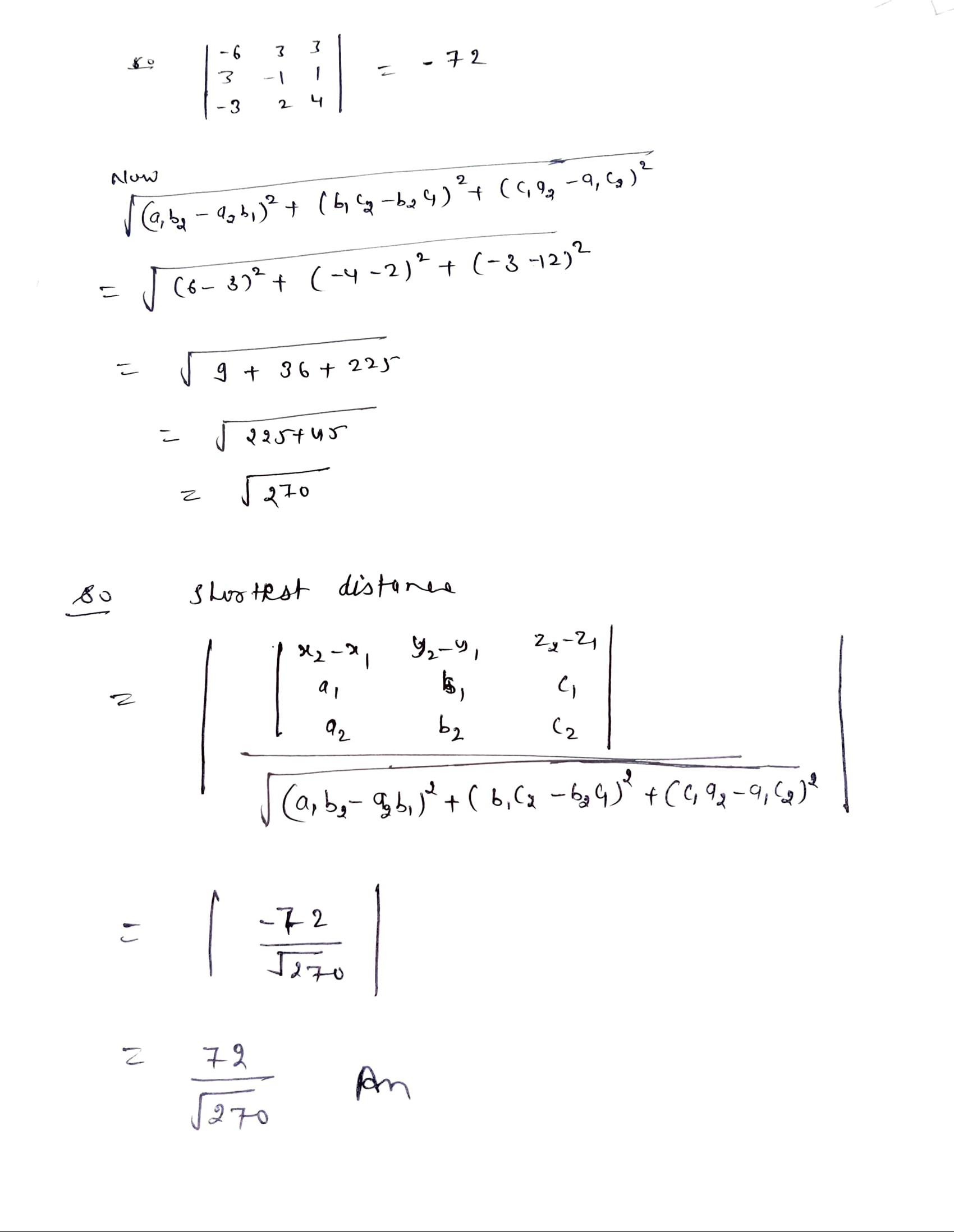
Determinant kese open kiya ye vala puch rhe ho kya aap ........1. https://youtu.be/Yi5qzNee7dc. visit this link to understand how to calculate determinant of a matrix