Time management is very much important in IIT JAM. The eduncle test series for IIT JAM Mathematical Statistics helped me a lot in this portion. I am very thankful to the test series I bought from eduncle.
Nilanjan Bhowmick AIR 3, CSIR NET (Earth Science)
>


Kanika goswami 1
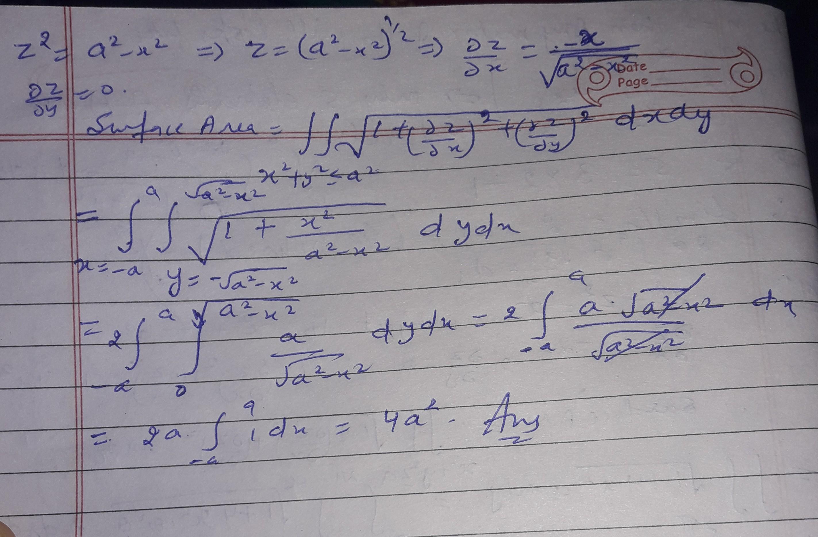
Solution is given below. Check it
there is mistake in partial derivative
sry....check it
are you agree with this?