profile-img
Bidisha Shit posted an Question
January 15, 2021 • 02:35 am 30 points
  • IIT JAM
  • Mathematics (MA)

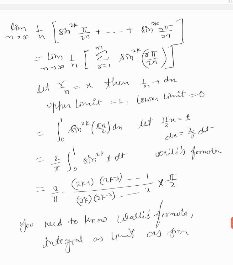
Find the value of the limit imsin +sin +sin t sin l 2k 2k-2).42 2k-1 2k-3).. 1 1. 2k-1 2-3.3.1 2k 2k-2..42 2 3. 0 4. your answer: 0 correct answer: 2

Find the value of the limit imsin +Sin +Sin t Sin L 2k 2k-2).42 2k-1 2k-3).. 1 1. 2k-1 2-3.3.1 2k 2k-2..42 2 3. 0 4. Your Answer: 0 Correct Answer: 2

1 Answer(s) Answer Now
  • 0 Likes
  • 1 Comments
  • 0 Shares
whatsapp-btn

Do You Want Better RANK in Your Exam?

Start Your Preparations with Eduncle’s FREE Study Material

  • Updated Syllabus, Paper Pattern & Full Exam Details
  • Sample Theory of Most Important Topic
  • Model Test Paper with Detailed Solutions
  • Last 5 Years Question Papers & Answers