Time management is very much important in IIT JAM. The eduncle test series for IIT JAM Mathematical Statistics helped me a lot in this portion. I am very thankful to the test series I bought from eduncle.
Nilanjan Bhowmick AIR 3, CSIR NET (Earth Science)
>


Deepak singh 1
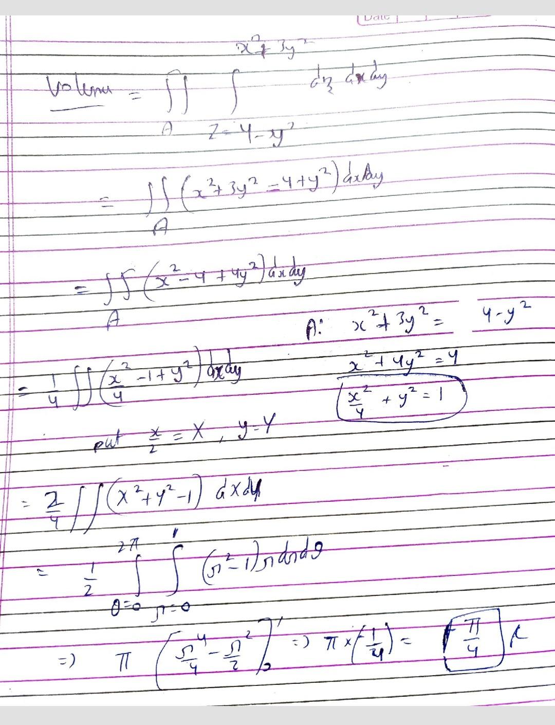
Refer attachment
correct answer is 4π
ok let me check
Refer attachment , answer is 4π ( there was calculation mistake in previous )
feel free to ask , if have any doubt
thank u so much sir
but I didn't Have options to mark it as a best Answer
refresh the page , it will show .
not get sir
then leave it as it is