profile-img
Prerna Chaudhary posted an Question
December 08, 2021 • 04:50 am 30 points
  • IIT JAM
  • Mathematics (MA)

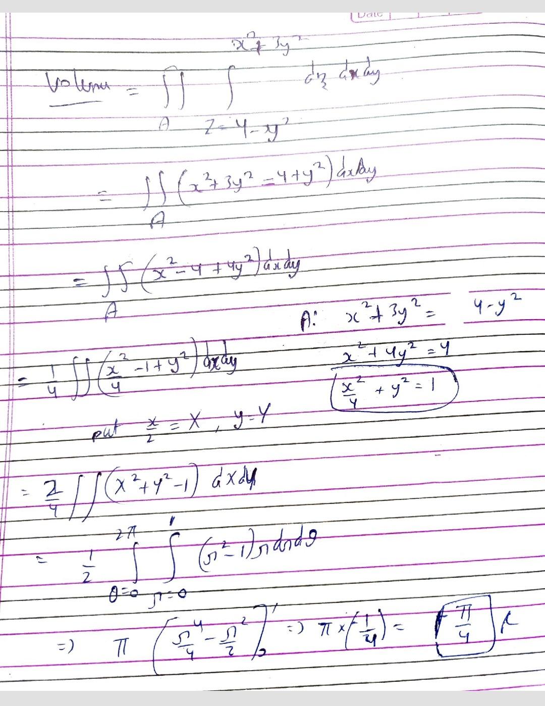
Find the volume of the solid bounded fig using triple integral

27) +3y2= z and the cylinder y+ z =4 x+3y=z y +z = 4

1 Answer(s) Answer Now
  • 0 Likes
  • 1 Comments
  • 0 Shares
whatsapp-btn

Do You Want Better RANK in Your Exam?

Start Your Preparations with Eduncle’s FREE Study Material

  • Updated Syllabus, Paper Pattern & Full Exam Details
  • Sample Theory of Most Important Topic
  • Model Test Paper with Detailed Solutions
  • Last 5 Years Question Papers & Answers