profile-img
Deepak Patra posted an Question
January 12, 2022 • 14:50 pm 30 points
  • IIT JAM
  • Mathematics (MA)

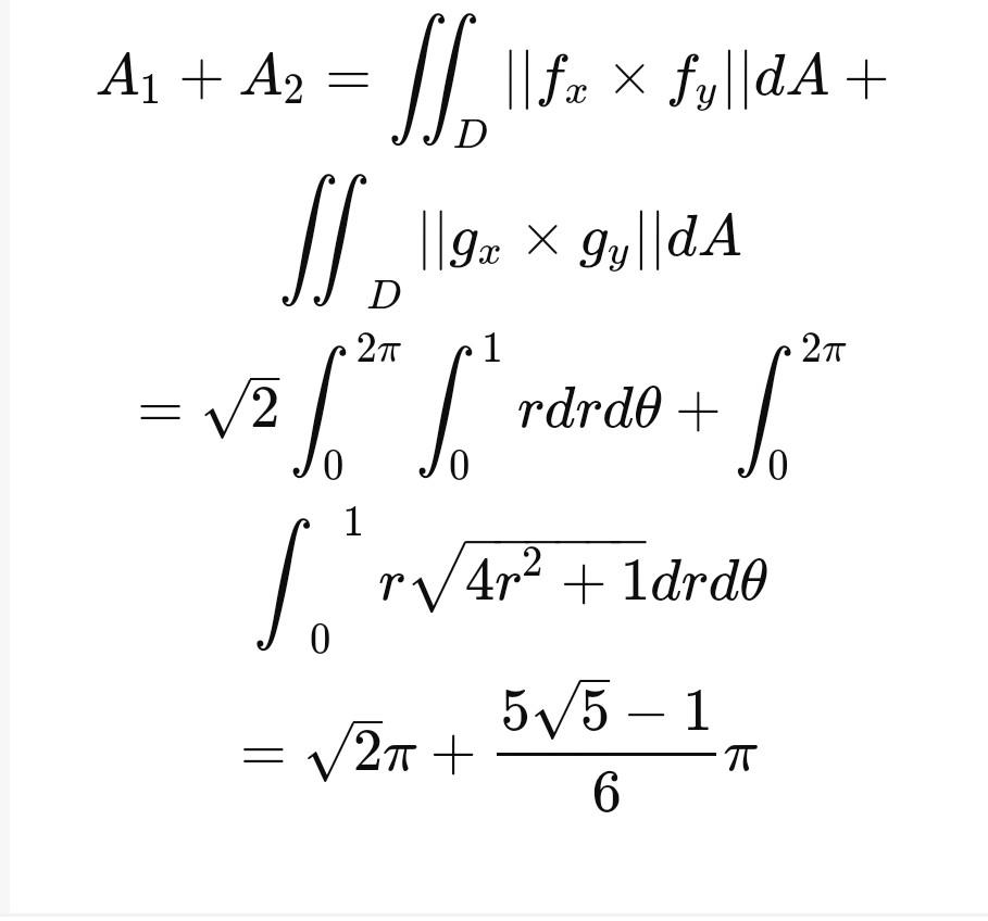
Find tho o4620 of o surtora o tto setid vndoal cor23- paaostio z=+

Find tho O4620 of o Surtora o tto Setid vndoal CoR23- paaostio z=+

1 Answer(s) Answer Now
  • 0 Likes
  • 1 Comments
  • 0 Shares
whatsapp-btn

Do You Want Better RANK in Your Exam?

Start Your Preparations with Eduncle’s FREE Study Material

  • Updated Syllabus, Paper Pattern & Full Exam Details
  • Sample Theory of Most Important Topic
  • Model Test Paper with Detailed Solutions
  • Last 5 Years Question Papers & Answers