Time management is very much important in IIT JAM. The eduncle test series for IIT JAM Mathematical Statistics helped me a lot in this portion. I am very thankful to the test series I bought from eduncle.
Nilanjan Bhowmick AIR 3, CSIR NET (Earth Science)
>


Aman sharma
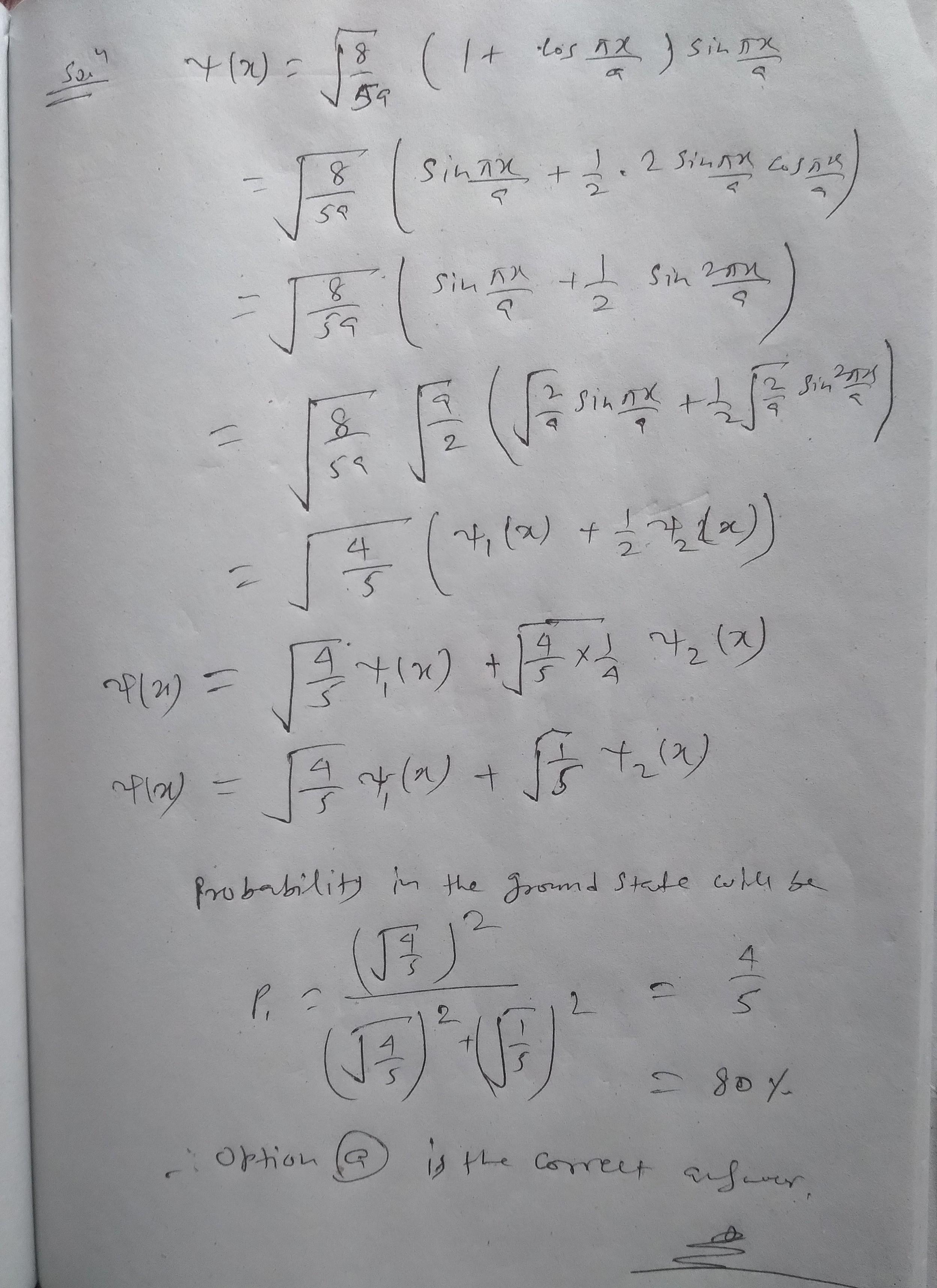
It is sin(πx) and not sin(πx/a ) given over here in the question ,but now it is clear that there is some misprint in the question ,thank you