Time management is very much important in IIT JAM. The eduncle test series for IIT JAM Mathematical Statistics helped me a lot in this portion. I am very thankful to the test series I bought from eduncle.
Nilanjan Bhowmick AIR 3, CSIR NET (Earth Science) 
		 
			 
			 
			 
			 
			 
			 
			 
			 
			 
 30 points
 30 points 
 
 
 
             
            

 
                
Priyadarshan Choursiya Best Answer
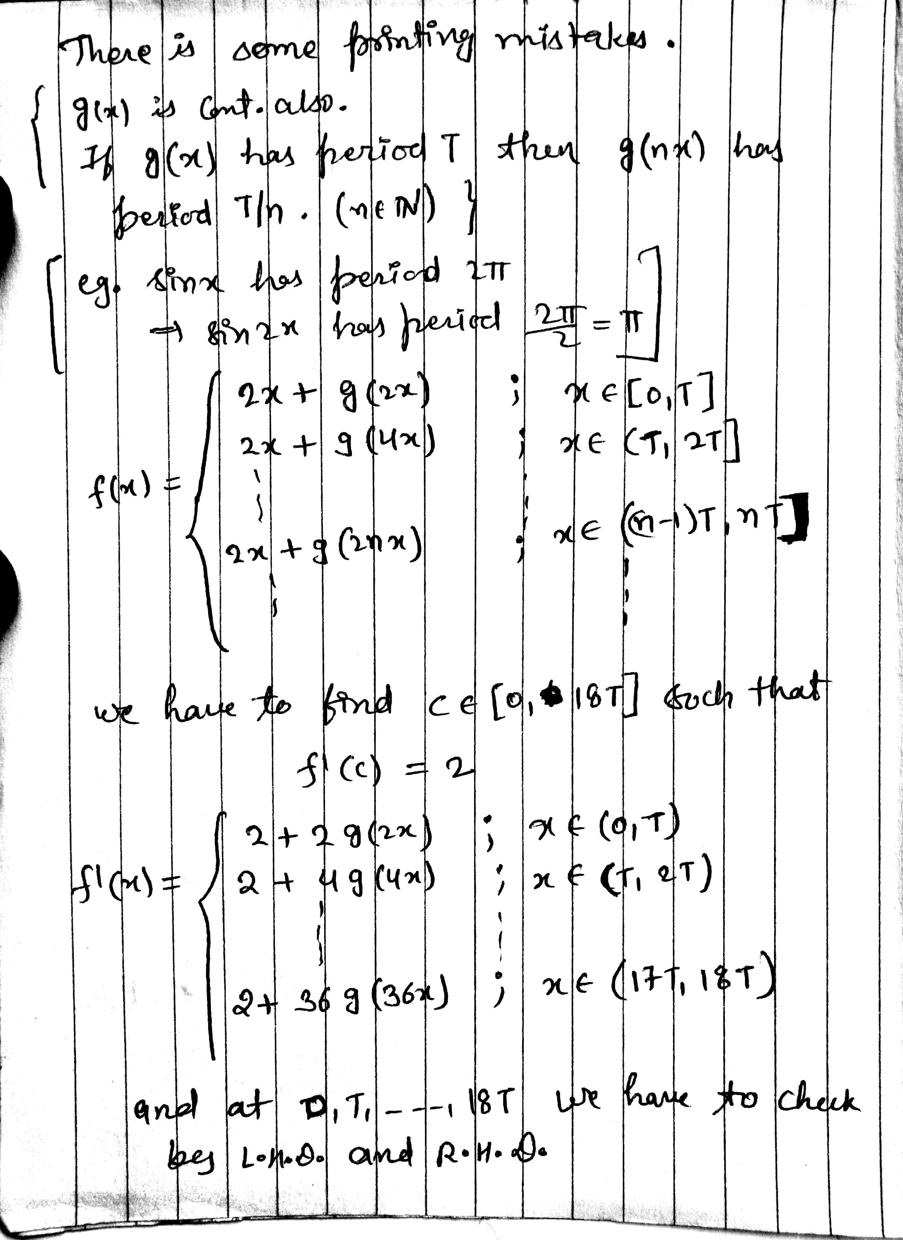
see attachment I also attached method of previous question.