Time management is very much important in IIT JAM. The eduncle test series for IIT JAM Mathematical Statistics helped me a lot in this portion. I am very thankful to the test series I bought from eduncle.
Nilanjan Bhowmick AIR 3, CSIR NET (Earth Science)


Jeevesh magnani
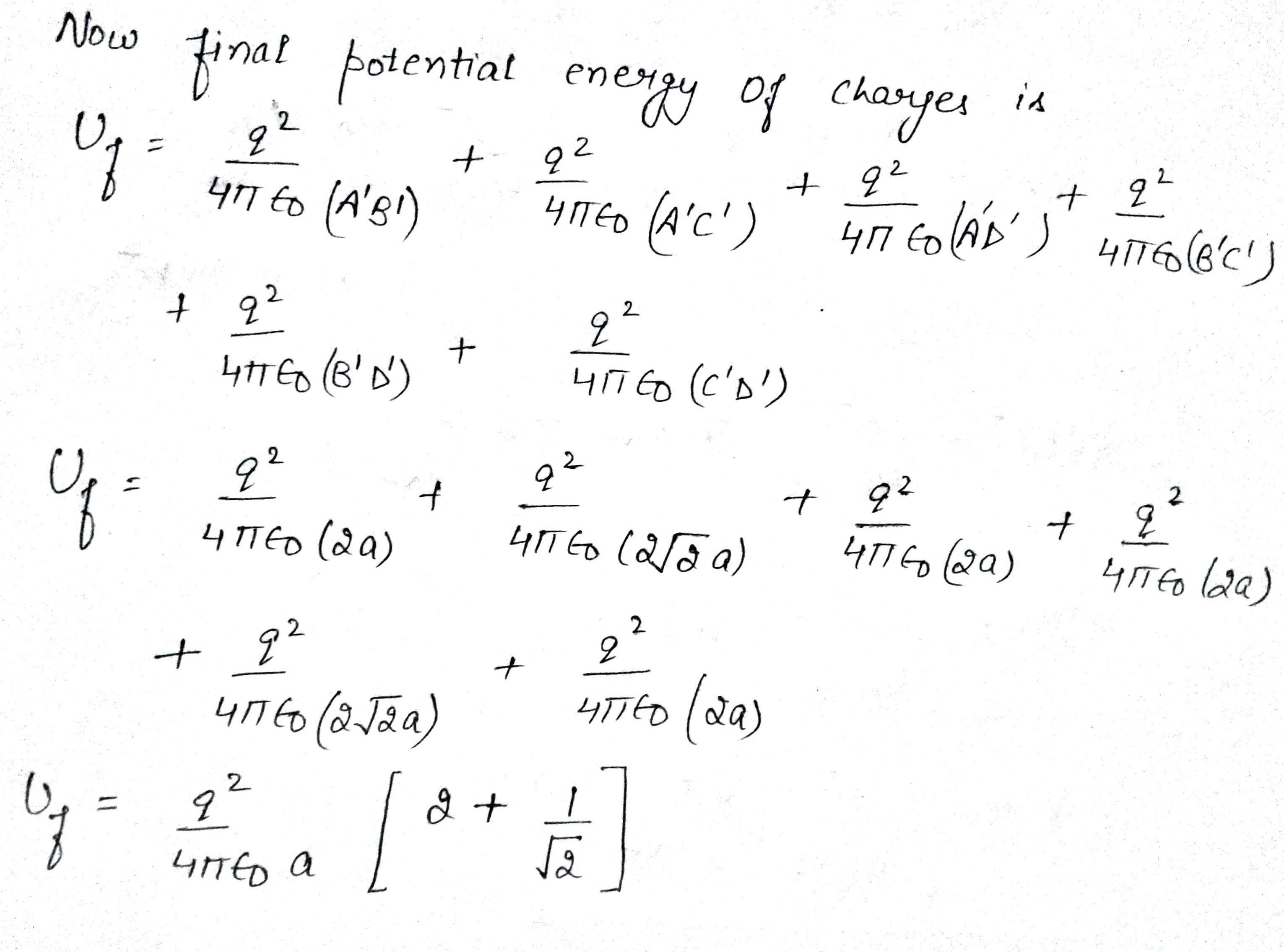
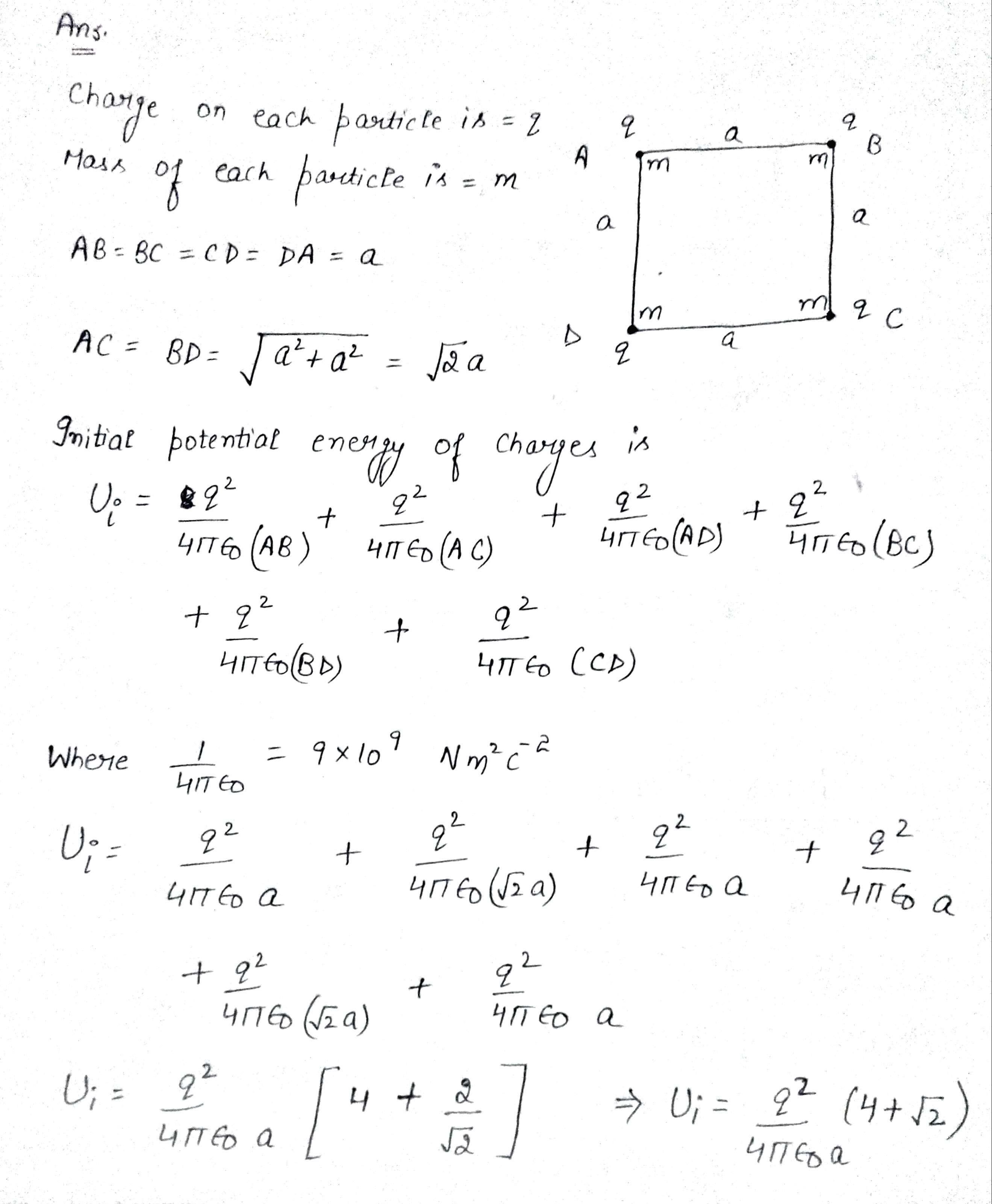
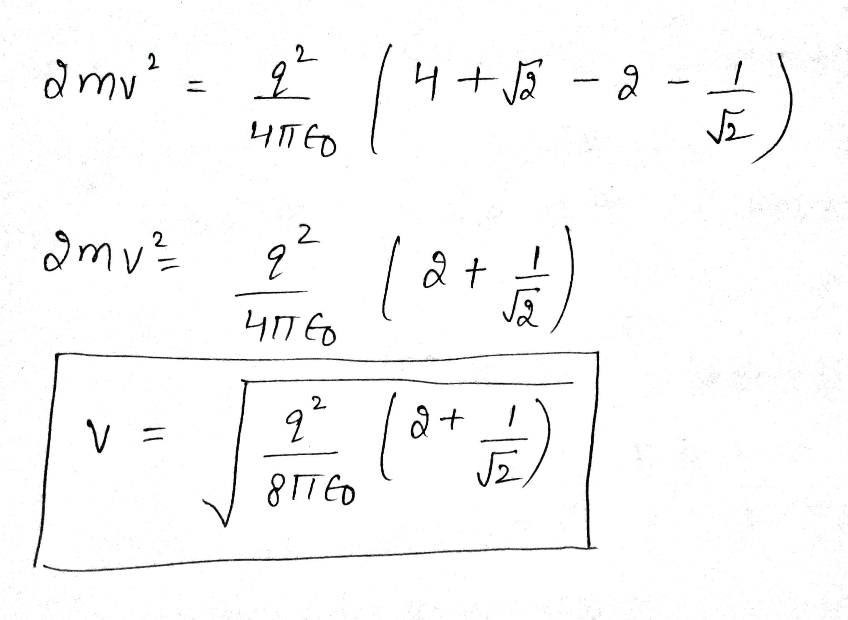
giving you two methods (please see the attachment) of solution. method 2 is easy and adviced to follow in exams, but work out through method 1 to build the intuition.