Time management is very much important in IIT JAM. The eduncle test series for IIT JAM Mathematical Statistics helped me a lot in this portion. I am very thankful to the test series I bought from eduncle.
Nilanjan Bhowmick AIR 3, CSIR NET (Earth Science)


Radhika gandhi 1 Best Answer
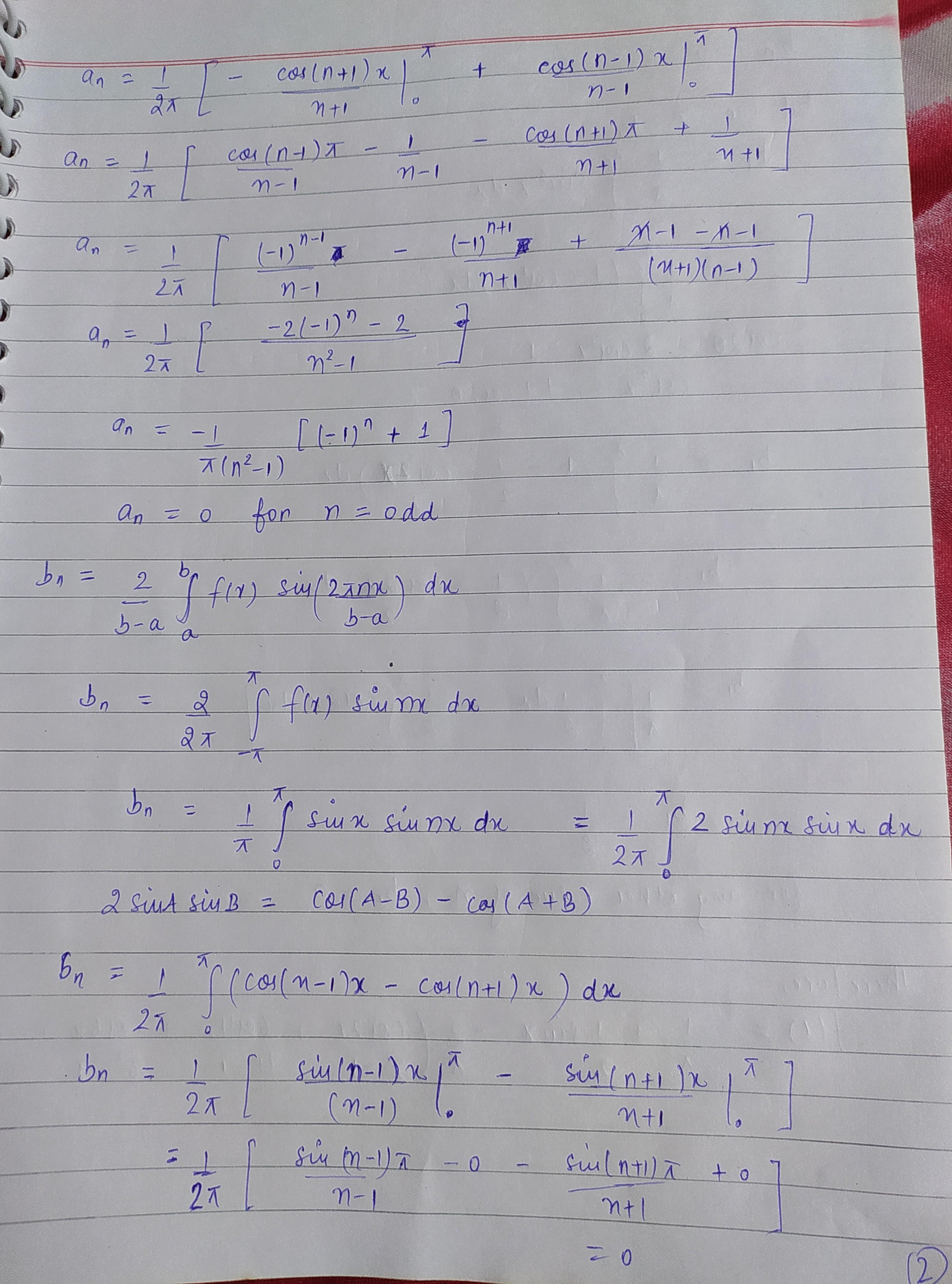
I hope the attached solution(3 images) is clear. Fact: This is the output of a half wave rectifier.