Time management is very much important in IIT JAM. The eduncle test series for IIT JAM Mathematical Statistics helped me a lot in this portion. I am very thankful to the test series I bought from eduncle.
Nilanjan Bhowmick AIR 3, CSIR NET (Earth Science)


Monika verma 1 Best Answer
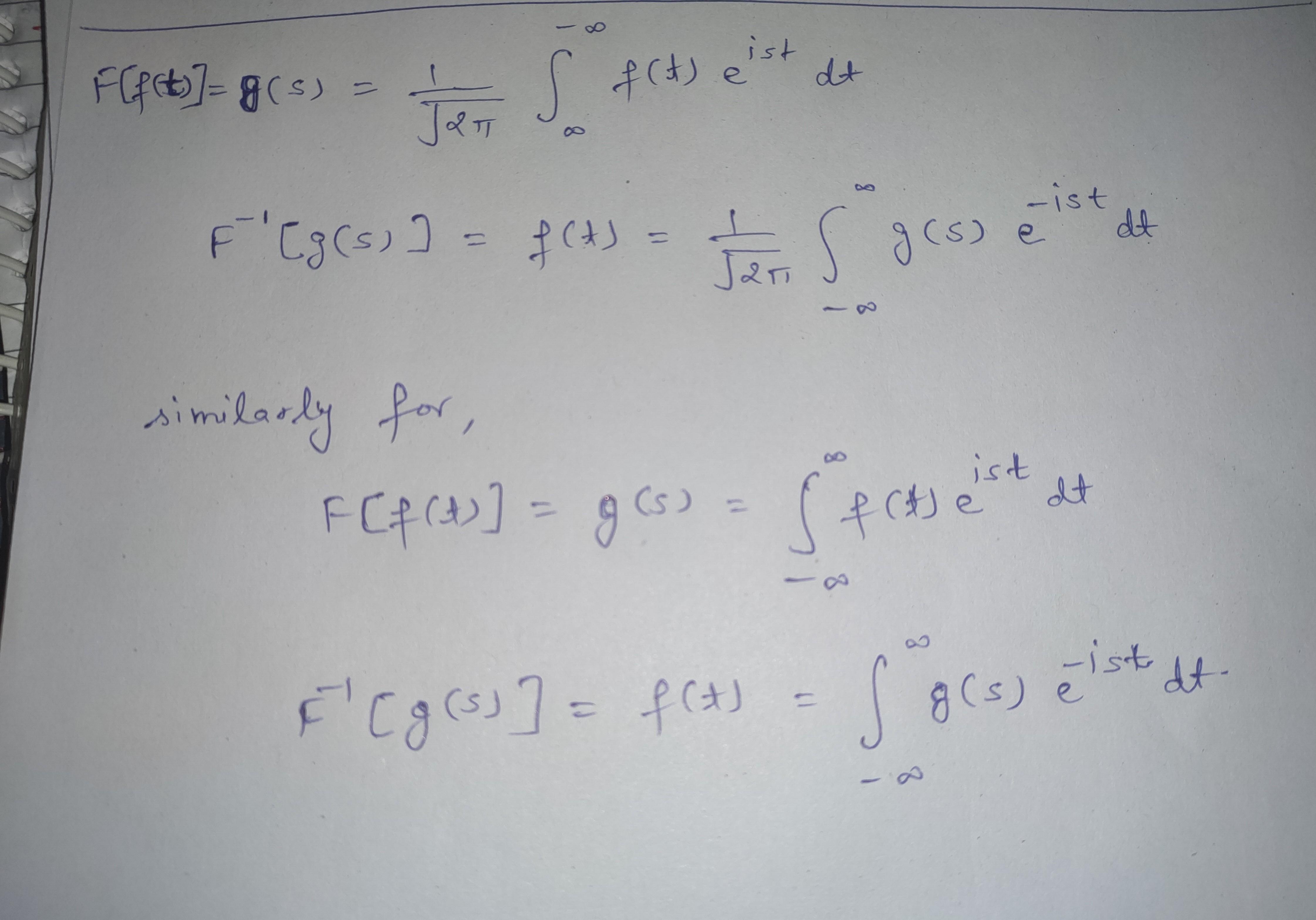
you can use any definition. In mostly questions it is defined that which definition you have to use. These 2π's are unavoidable, it's just a matter of convenience or taste where to place them . The inverse transformation formula is same ,but the exponential power become negative. see the attachment
Ma'am , and for Fourier Sine and cosine transform, there we use root(2/pie) There also this will not make any difference, right?
yes it will make no difference.