Time management is very much important in IIT JAM. The eduncle test series for IIT JAM Mathematical Statistics helped me a lot in this portion. I am very thankful to the test series I bought from eduncle.
Nilanjan Bhowmick AIR 3, CSIR NET (Earth Science)
>


Ravi bhushan Best Answer
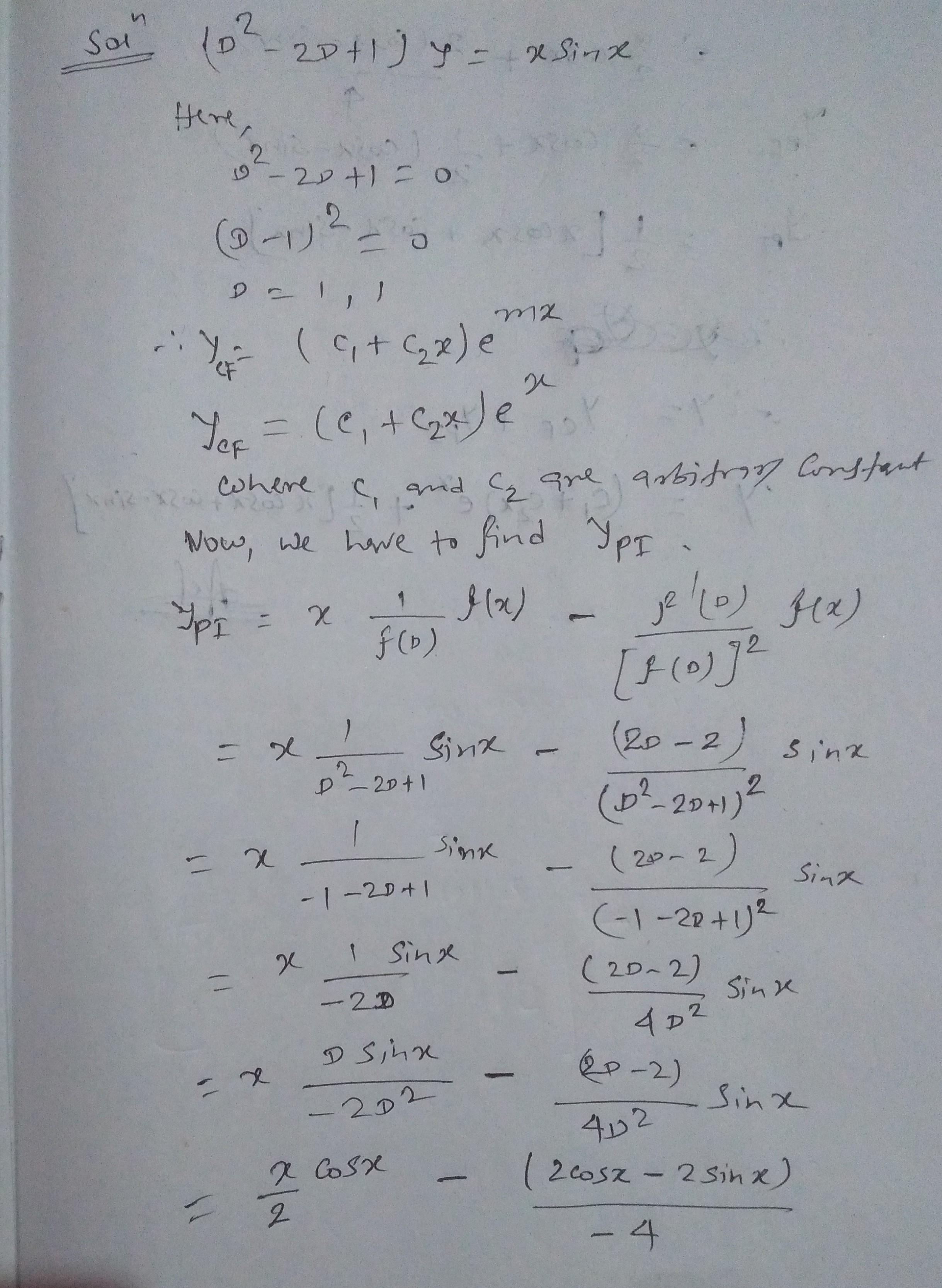
Here is the detailed solution.
thank you for your time 👍. and how the d^2 =-1 and how did u get the last step?
this is the formula for cos(ax ) and sin(ax). You have to put d^2=-a^2
Meaning of D(Sinx) is the derivative of sinx.
then what does 1/D (sin x) means
I have multiplied D in numerator and denominator
sorry bro but i still don't get the last step. could u please explain it
You have to put d^2=-1 and D(sinx) means differentiation of sinx
so 1/D sinx means integration of sine x right