Time management is very much important in IIT JAM. The eduncle test series for IIT JAM Mathematical Statistics helped me a lot in this portion. I am very thankful to the test series I bought from eduncle.
Nilanjan Bhowmick AIR 3, CSIR NET (Earth Science)
>



Bidyut sinha
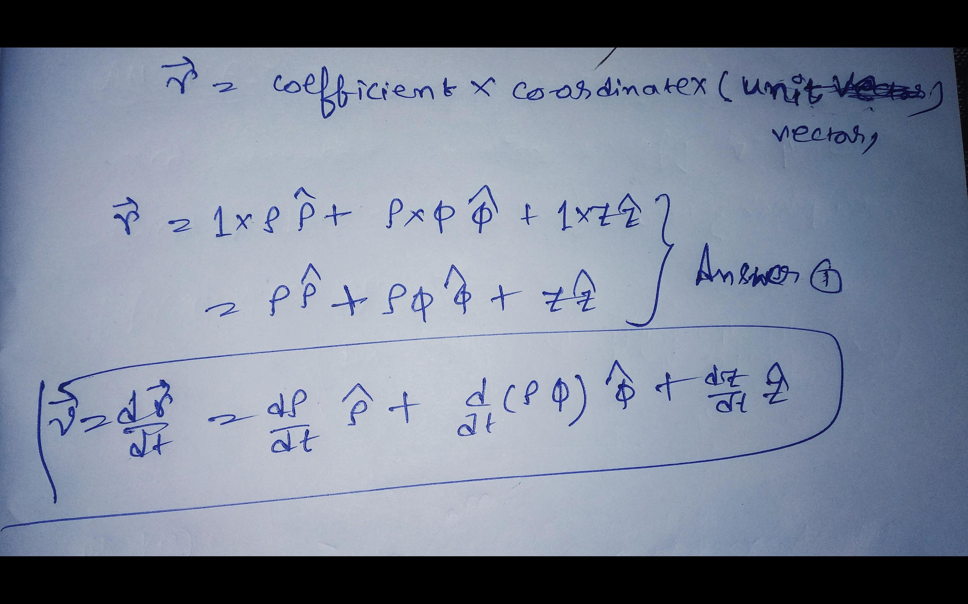
yes, that is impulse...But Impulse is equal to torque× time interval...then per unit time interval ,that is equal to change in angular Momentum...Check the attached picture.