Time management is very much important in IIT JAM. The eduncle test series for IIT JAM Mathematical Statistics helped me a lot in this portion. I am very thankful to the test series I bought from eduncle.
Nilanjan Bhowmick AIR 3, CSIR NET (Earth Science)
		
			
			
			
			
			
			
			
			
			
            
            

                
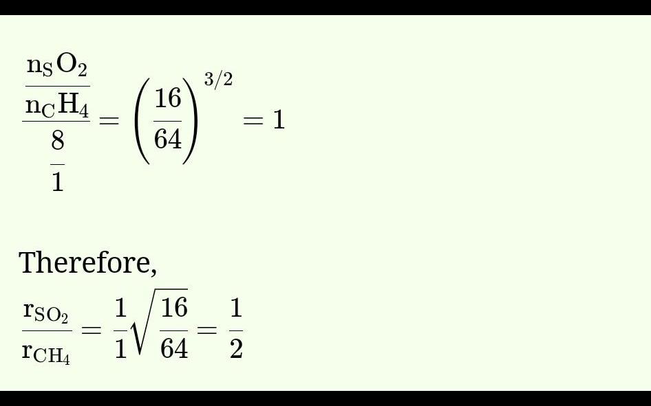
Shreyasi majumdar 1 Best Answer
https://www.doubtnut.com/question-answer-chemistry/calculate-relative-rates-of-effusion-of-so2-to-ch4-in-the-mixture-obtained-by-effusing-out-a-mixture-25907804