Time management is very much important in IIT JAM. The eduncle test series for IIT JAM Mathematical Statistics helped me a lot in this portion. I am very thankful to the test series I bought from eduncle.
Nilanjan Bhowmick AIR 3, CSIR NET (Earth Science)


Priyadarshan Choursiya Best Answer
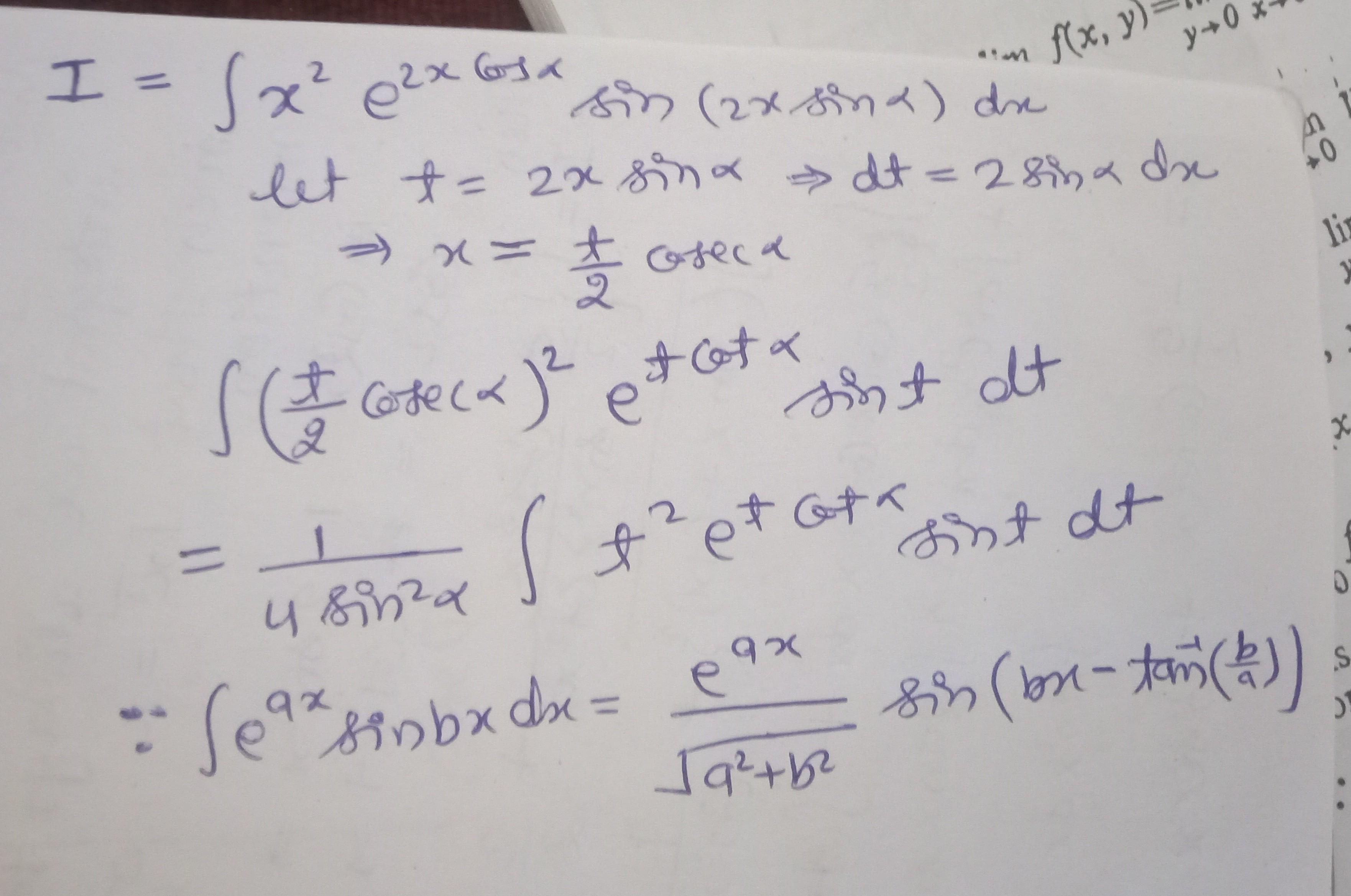
for your demand I explain only shortcut, which is a trick. actual method to do this is integration by parts see attachment-
yes correct sir, this problem is actually integration by parts . thank you