Time management is very much important in IIT JAM. The eduncle test series for IIT JAM Mathematical Statistics helped me a lot in this portion. I am very thankful to the test series I bought from eduncle.
Nilanjan Bhowmick AIR 3, CSIR NET (Earth Science)
>



Satpal singh
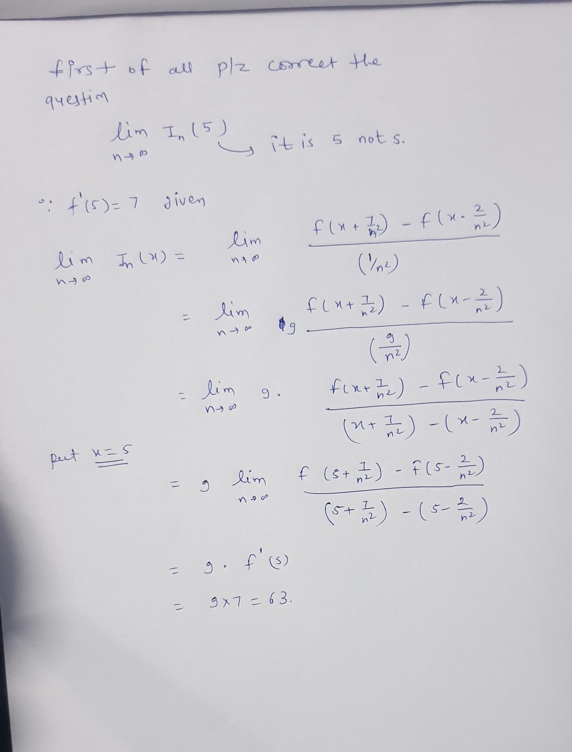
see the attachment . there was some mistake in the question . i have corrected
sir ur ans. and mahendra sir's ans. is different so i am confused which process to chose
sir pls tell
correct ans is 63. he did a mistake . from his process ans is also 63
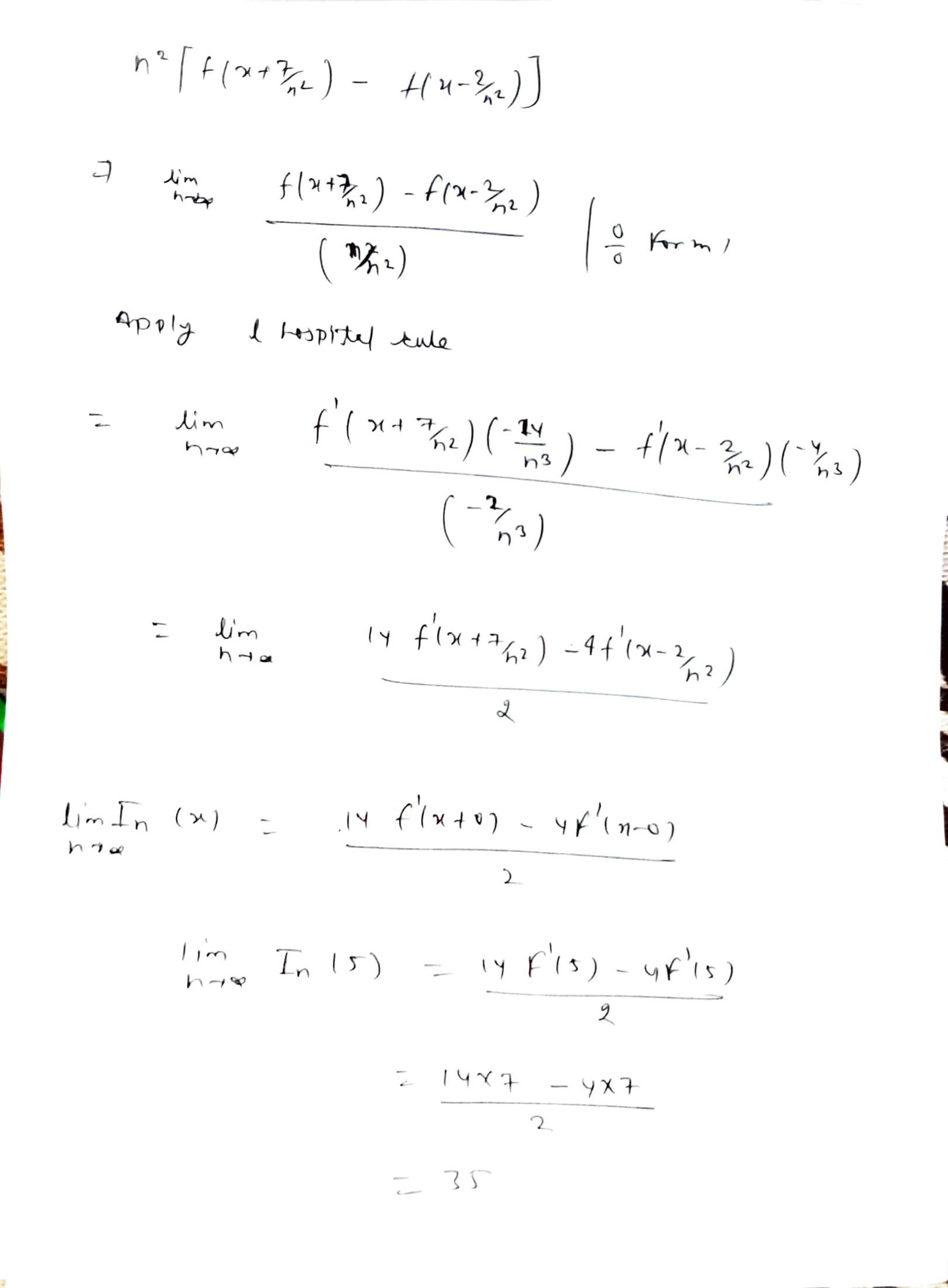
if u see yha ye minus nhi aayega
yha red circle me only 4/(n^3) aayega. after that calculation se ans 63 aayega
ok sir got it