Time management is very much important in IIT JAM. The eduncle test series for IIT JAM Mathematical Statistics helped me a lot in this portion. I am very thankful to the test series I bought from eduncle.
Nilanjan Bhowmick AIR 3, CSIR NET (Earth Science)
>


Eduncle
Dear Student,
Greetings!!
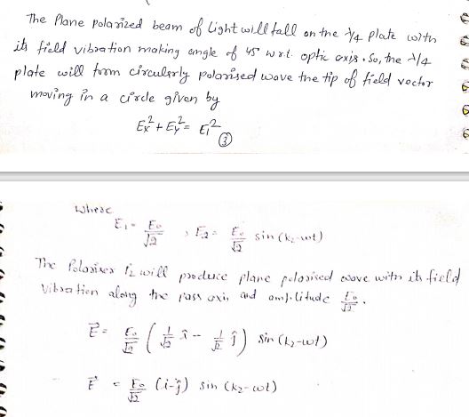
Refer the attached image for solution
what will be the handedness of circular polarization? And can you write the total electric field expression after passing though that quarter wave plate ?