Time management is very much important in IIT JAM. The eduncle test series for IIT JAM Mathematical Statistics helped me a lot in this portion. I am very thankful to the test series I bought from eduncle.
Nilanjan Bhowmick AIR 3, CSIR NET (Earth Science)
>


Alka gupta
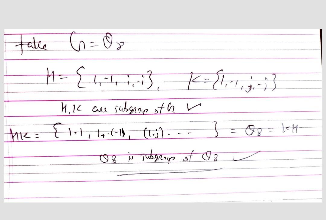
you can use this as a result....if any two subgroups are given then product of two subgroups is subgroup of G if HK=KH and vice versa this theorem based example never asked in exam. so only remember this as a result Note- if group is cyclic then no need this condition HK=KH