Time management is very much important in IIT JAM. The eduncle test series for IIT JAM Mathematical Statistics helped me a lot in this portion. I am very thankful to the test series I bought from eduncle.
Nilanjan Bhowmick AIR 3, CSIR NET (Earth Science)
>
>


Deepak singh 1 Best Answer
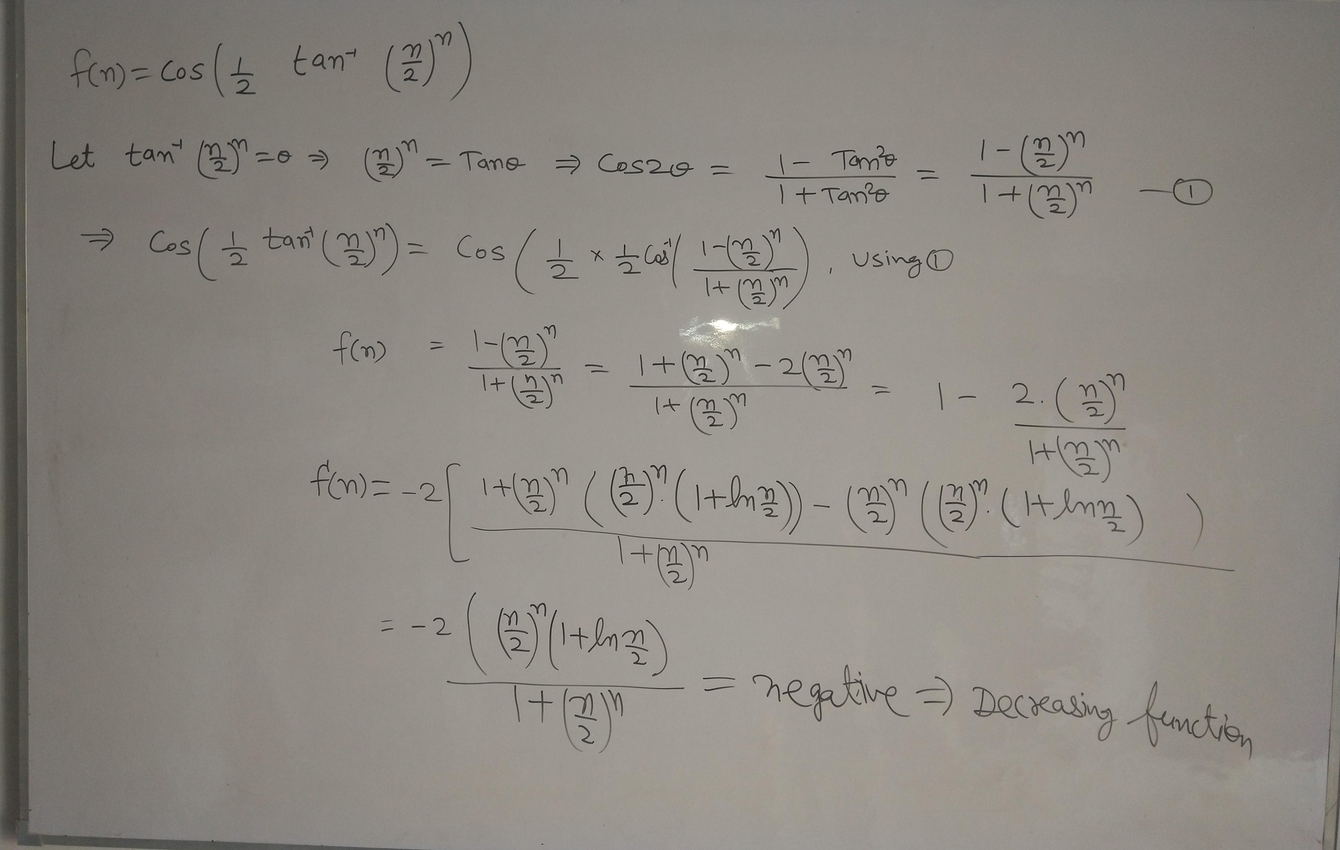
see attached
sir i didnt understood last line how cos became montonic decrasing while tan^(-1)(n/2)^n is monotonic increasing
using graphical approach..