Time management is very much important in IIT JAM. The eduncle test series for IIT JAM Mathematical Statistics helped me a lot in this portion. I am very thankful to the test series I bought from eduncle.
Nilanjan Bhowmick AIR 3, CSIR NET (Earth Science)
>



Astha pandey
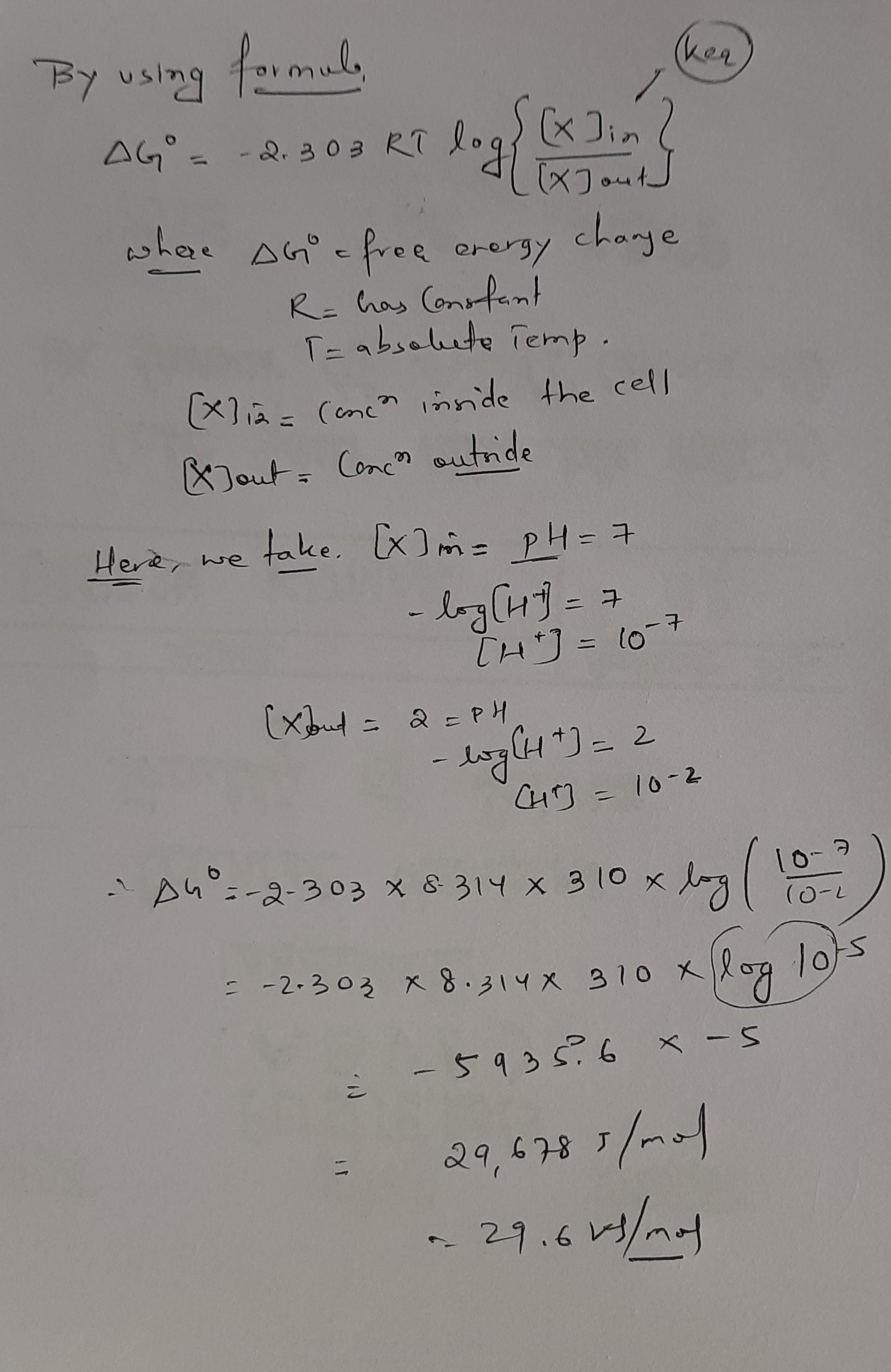
plz explain this also. How 7/5 came??
In scientific calculator you can calculate this value or this value is given in your question