Time management is very much important in IIT JAM. The eduncle test series for IIT JAM Mathematical Statistics helped me a lot in this portion. I am very thankful to the test series I bought from eduncle.
Nilanjan Bhowmick AIR 3, CSIR NET (Earth Science)


Priyadarshan Choursiya Best Answer
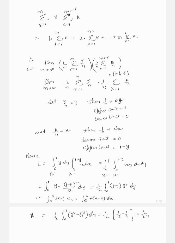
for solving this it is necessary you know how to change limit into integral and definition of double, single integral.
sir when we are dividing by n then should not we multiply also by n..i did not that yellow underlined step sir
sir please once show how green part came i.e.1-y
visit some videos on YouTube about how to find limit which clear your concepts. see attachment