Time management is very much important in IIT JAM. The eduncle test series for IIT JAM Mathematical Statistics helped me a lot in this portion. I am very thankful to the test series I bought from eduncle.
Nilanjan Bhowmick AIR 3, CSIR NET (Earth Science)
>
>



Deepak singh 1
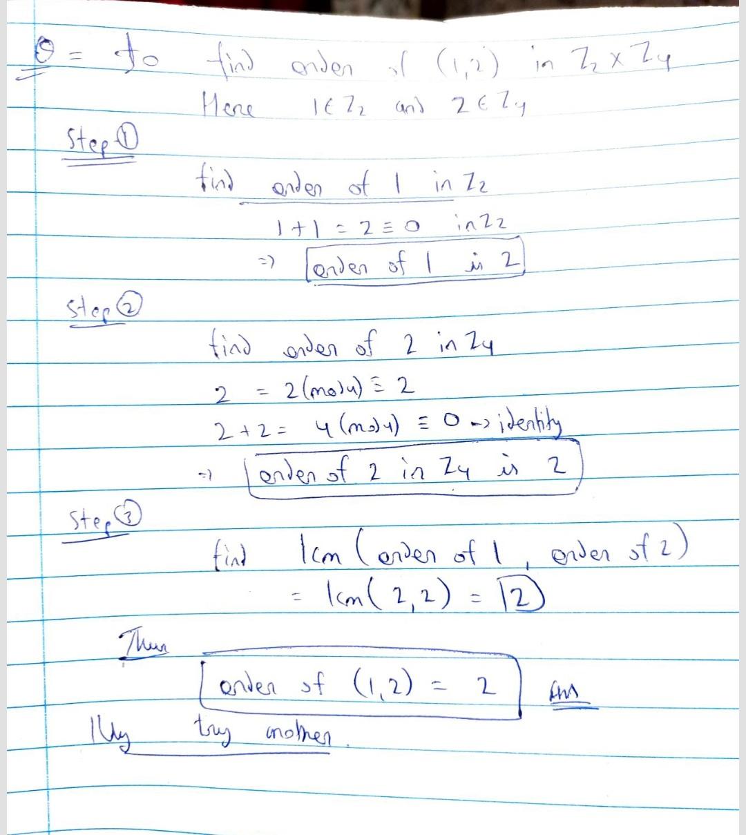
Refer attached steps to find order .
still in doubt how they did this?
finding order depends on group . which group is this ? can you send complete picture ?