Time management is very much important in IIT JAM. The eduncle test series for IIT JAM Mathematical Statistics helped me a lot in this portion. I am very thankful to the test series I bought from eduncle.
Nilanjan Bhowmick AIR 3, CSIR NET (Earth Science)


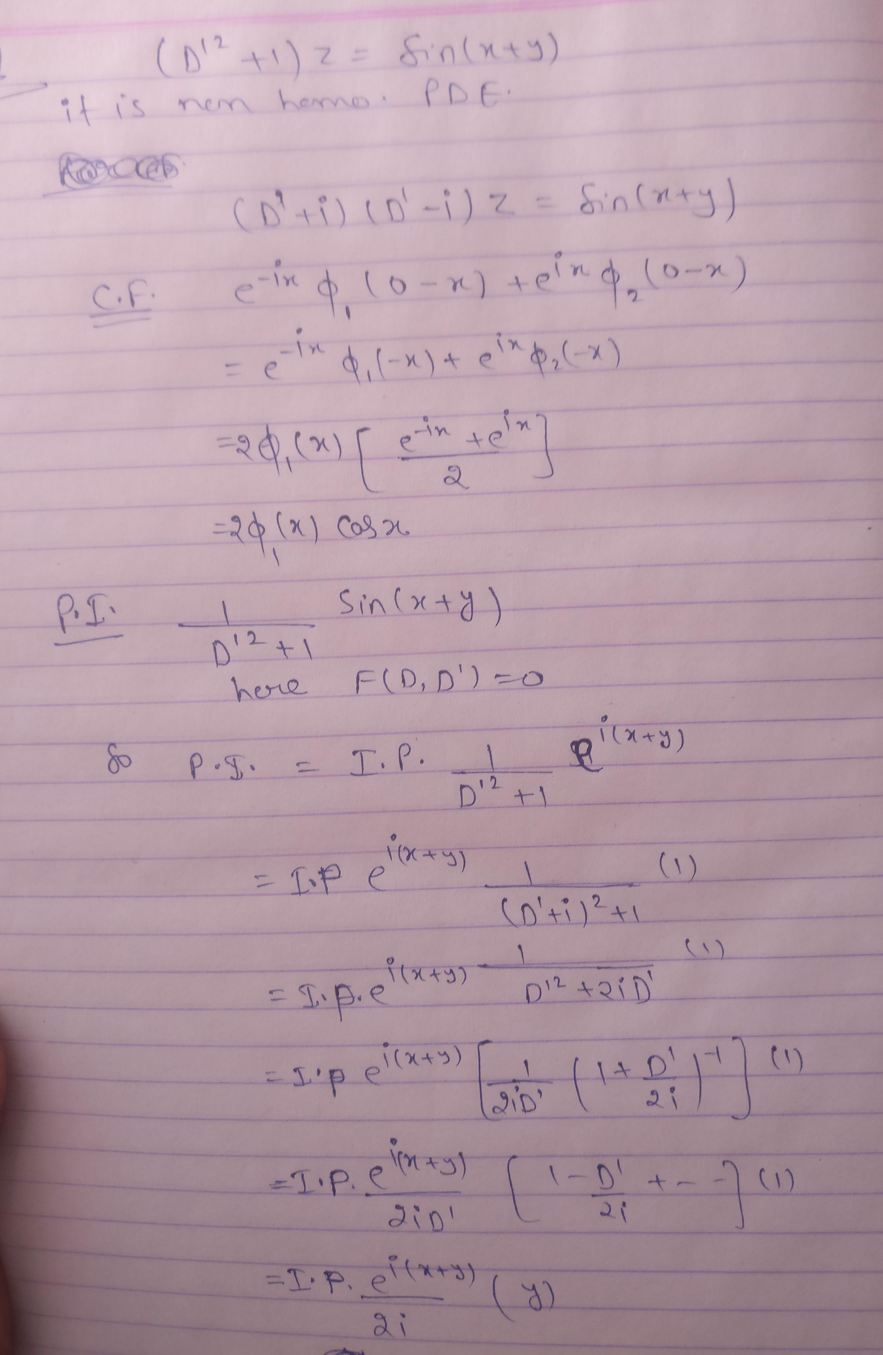
Alka gupta Best Answer
I attached the solution... please check
no one did it but you did it, Thank you Alka sir.
alka sir nahi.... Alka mam
oh sorry, ma'am.