Time management is very much important in IIT JAM. The eduncle test series for IIT JAM Mathematical Statistics helped me a lot in this portion. I am very thankful to the test series I bought from eduncle.
Nilanjan Bhowmick AIR 3, CSIR NET (Earth Science) 
		 
			 
			 
			 
			 
			 
			 
			 
			 
			 30 points
 30 points >
>
	 
 
 
 
             
            

 
                
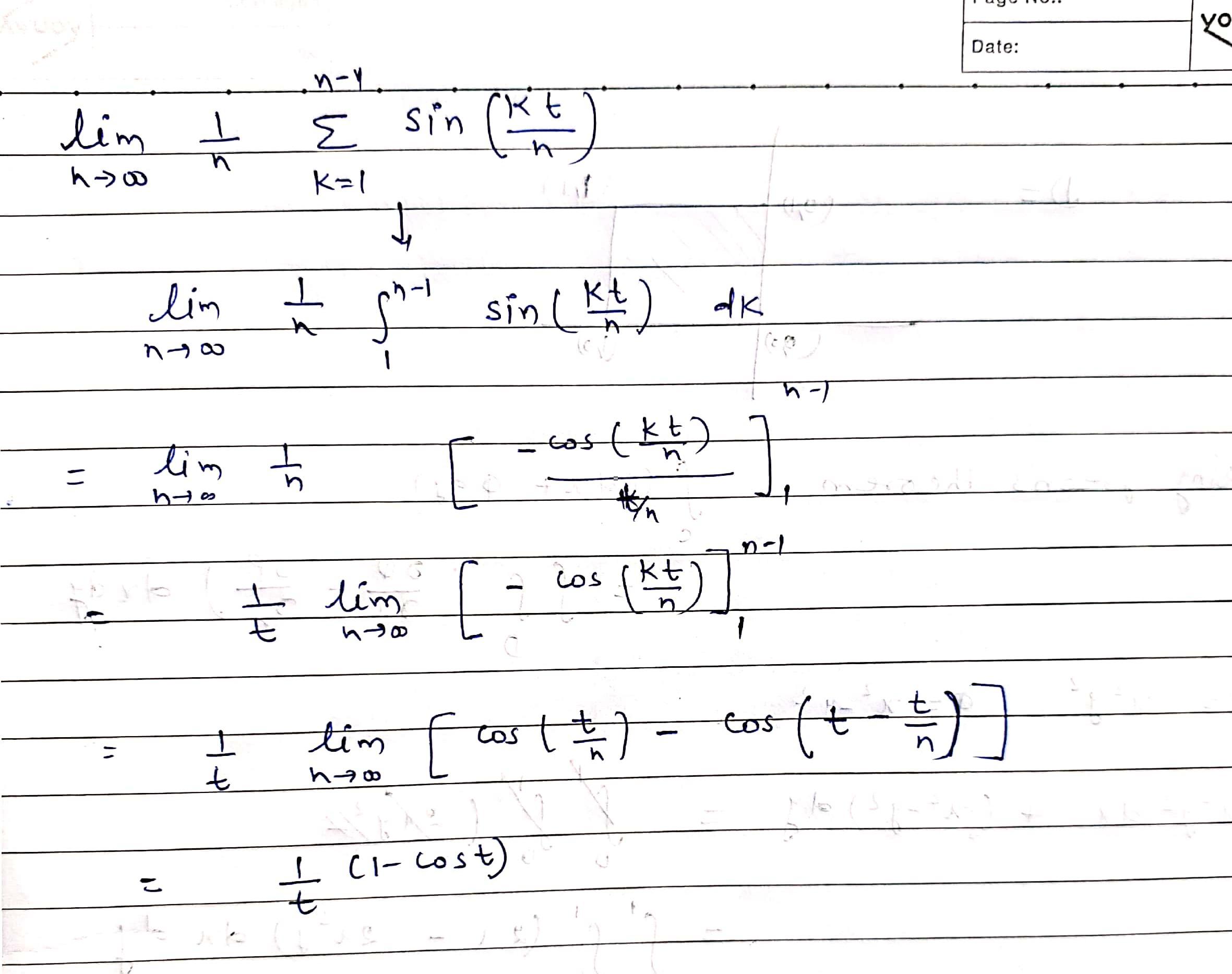
Satpal singh Best Answer
see the attachment
sir in book its written to convert 1/n to dx and k/n to x..then sir why u left 1/n separate
sir pls tell this part..i did not got that
pls tell
that is same but i did in short way
simply replace sum by integration
ok sir i got it