Time management is very much important in IIT JAM. The eduncle test series for IIT JAM Mathematical Statistics helped me a lot in this portion. I am very thankful to the test series I bought from eduncle.
Nilanjan Bhowmick AIR 3, CSIR NET (Earth Science)
>



Priyadarshan Choursiya
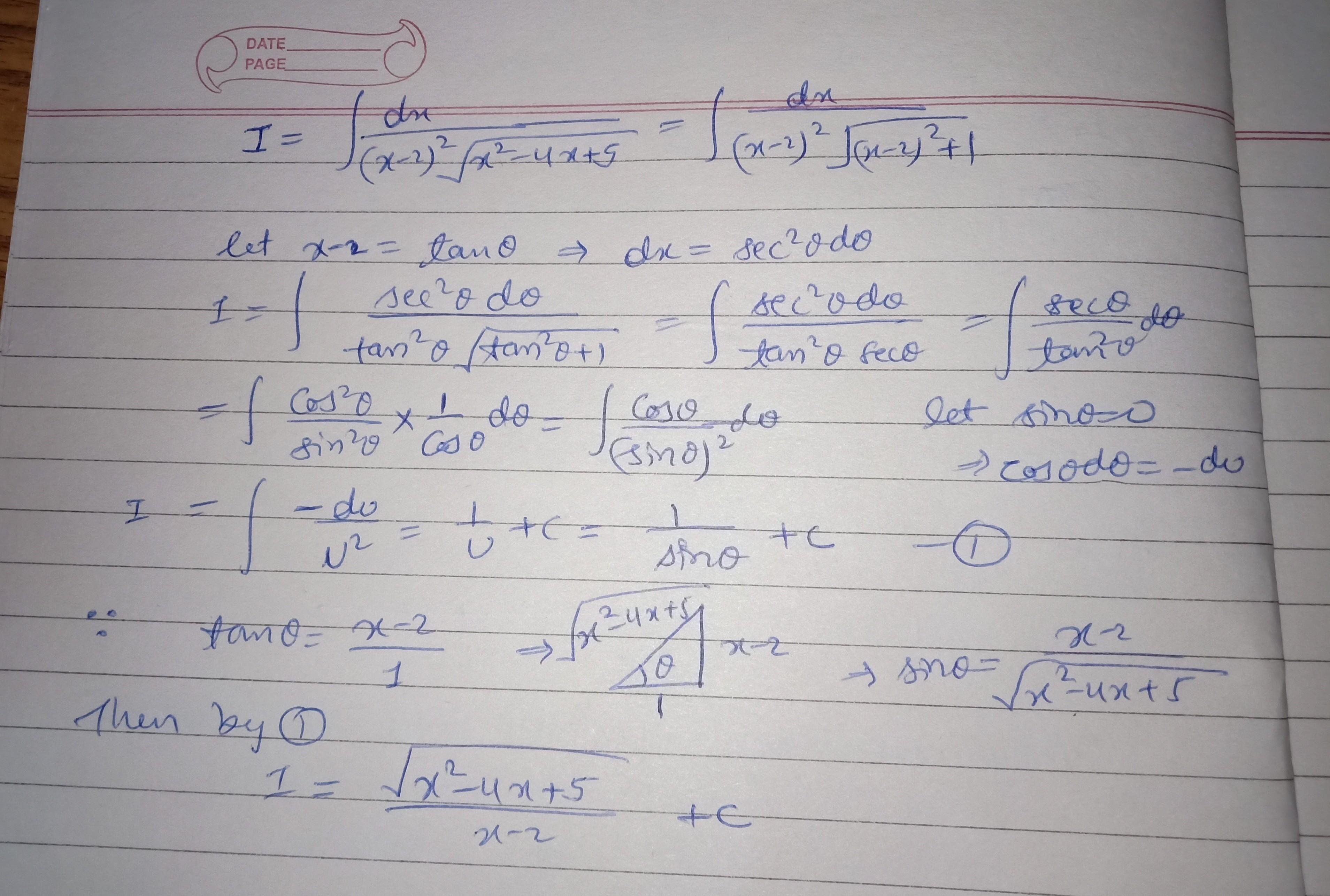
for making partial fraction visit https://youtu.be/Imv5jn3ueB4 see attachment