Time management is very much important in IIT JAM. The eduncle test series for IIT JAM Mathematical Statistics helped me a lot in this portion. I am very thankful to the test series I bought from eduncle.
Nilanjan Bhowmick AIR 3, CSIR NET (Earth Science)


Priyadarshan Choursiya Best Answer
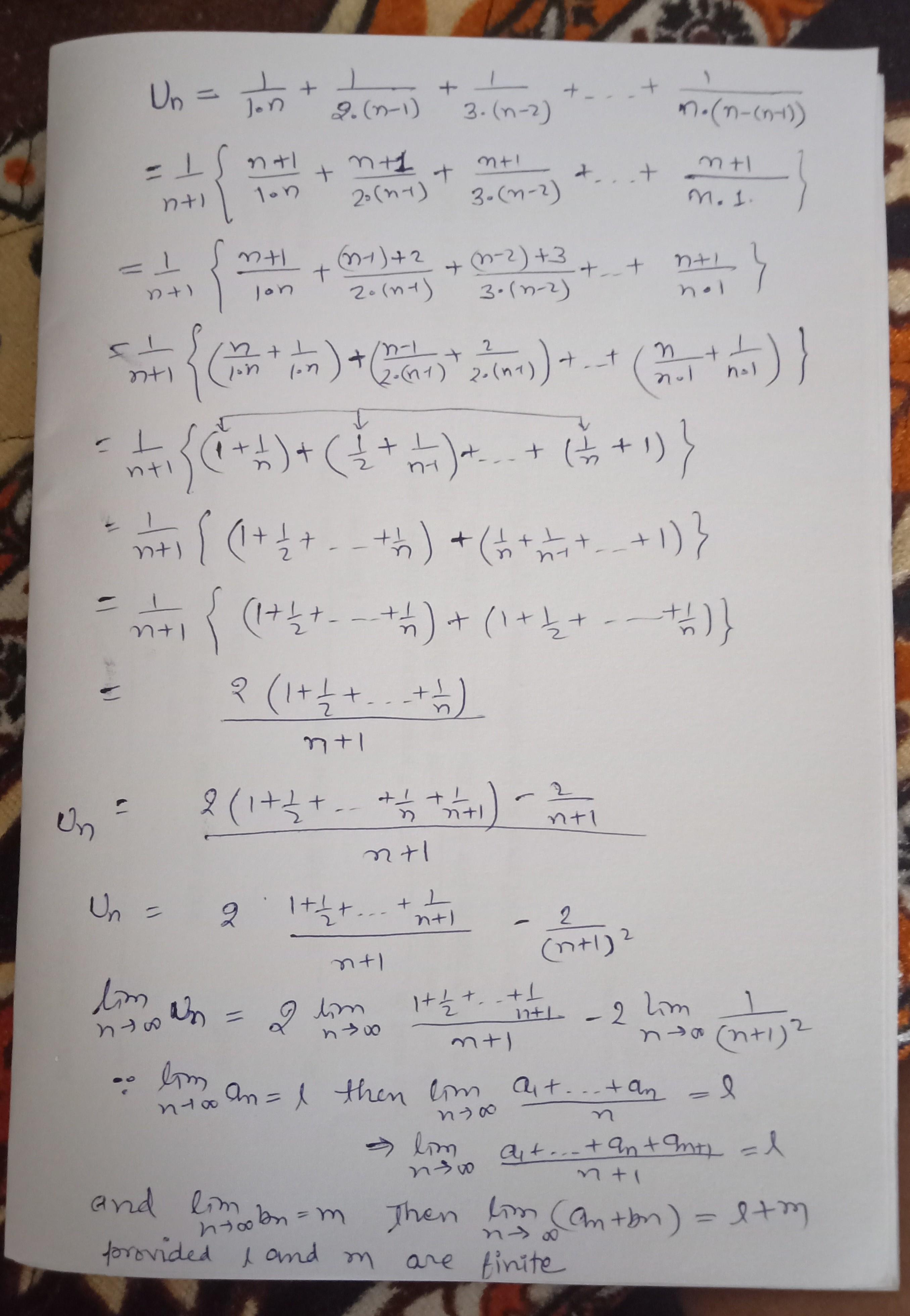
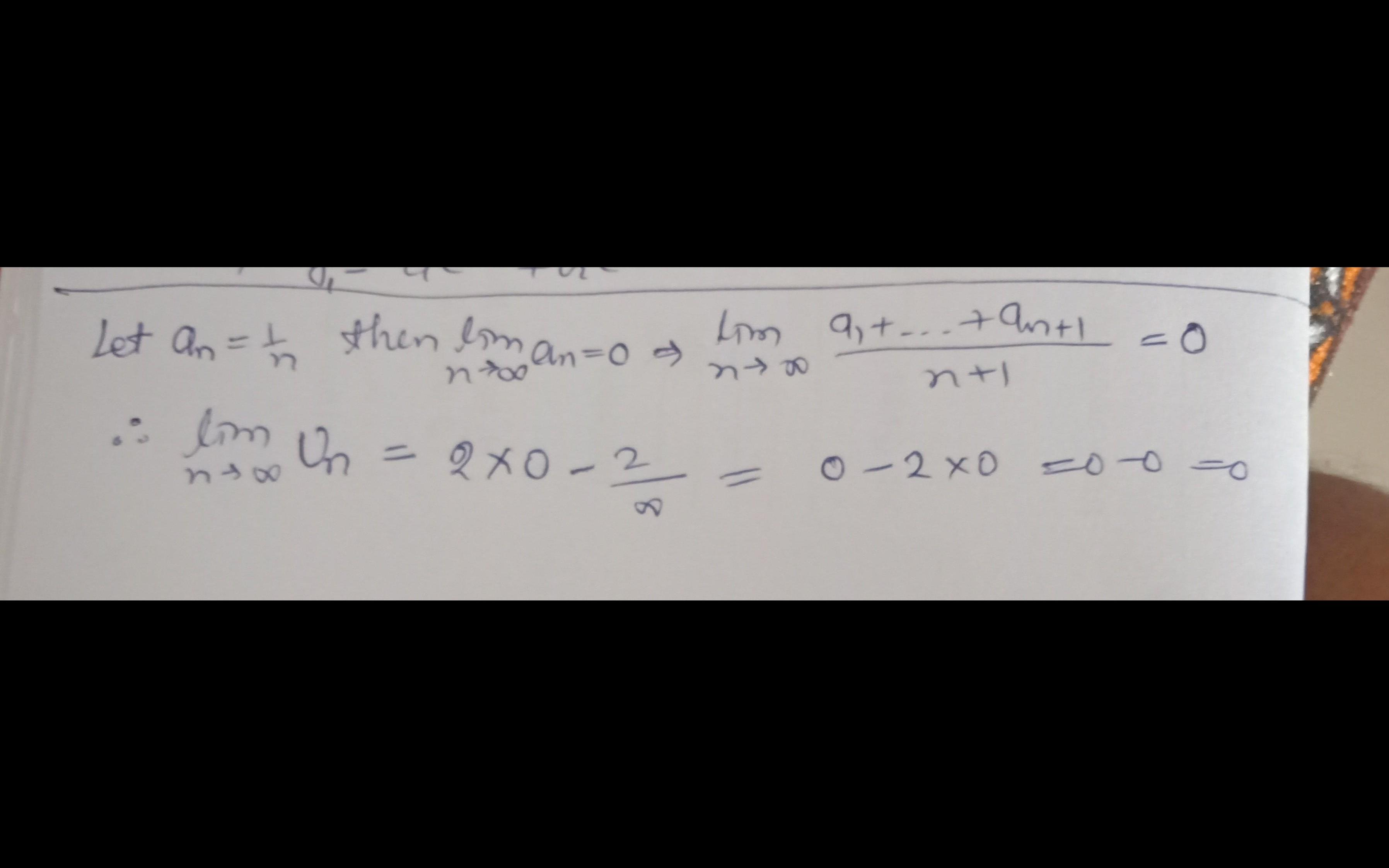
see attachment
what was the pre -thought to mulyiply and divide (n+1)
so I can change that form into known form 1/n. and second thins is that sum of denominator is n+1 in each term