Time management is very much important in IIT JAM. The eduncle test series for IIT JAM Mathematical Statistics helped me a lot in this portion. I am very thankful to the test series I bought from eduncle.
Nilanjan Bhowmick AIR 3, CSIR NET (Earth Science)
>


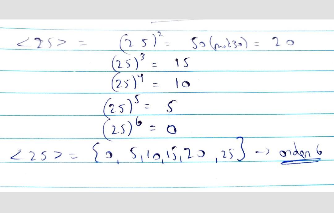
Deepak singh 1 Best Answer
Refer attached Answer is 6
sir pls once tell
yes wait .
Refer attached
sir in previous question which i asked there how u determined 19 pls once tell
(3)^5 = 25×3=75(mod56)= 19
sir last doubt pls once tell this
Due to group operation . \n\n.In one question there is (Z30,+) group , so here we used addition . \n\nIn other question group operation was multiplication modulo 56 so we multiplied there .
thanks a lot sir